找回密码
 注册
楼主: 郭庆富

烦请哪位有识宗亲把下面的碑文给翻译一下,以便于阅读。

[复制链接]
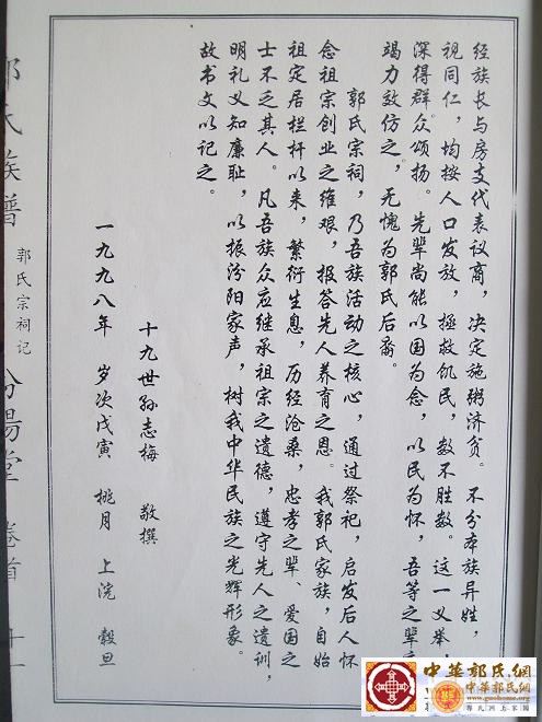
 楼主| 发表于 2013-4-4 20:12:56 | 显示全部楼层
100_3713.--1.JPG

100_3714--2.JPG

100_3715--3.JPG

100_3716--4.JPG

点评

栏杆郭氏宗祠记  发表于 2013-4-4 20:14
回复

使用道具 举报

发表于 2013-4-4 23:22:21 | 显示全部楼层
首缮碑文里有一个字翻成简化字时应当是错掉了,
"联属族众,各奉资材,为之庀木石、迓匠作."     上的图成了“庞木石”。
回复

使用道具 举报

发表于 2013-4-11 23:27:55 | 显示全部楼层
郭氏风范,族人的骄傲,碑文比我家碑文好认多了,难的能念下一句话,
回复

使用道具 举报

 楼主| 发表于 2013-4-12 21:04:46 | 显示全部楼层
“郭氏风范,族人的骄傲,碑文比我家碑文好认多了,难的能念下一句话”,
庆林家的碑文也传上来让我们看看,学习学习。
回复

使用道具 举报

发表于 2013-4-12 23:37:33 | 显示全部楼层
我是笨蛋一个,这上传步骤从哪哪传啊:

点评

庆林,如果上传资料,上传方法可以请教学生们。  发表于 2013-4-25 20:16
回复

使用道具 举报

您需要登录后才可以回帖 登录 | 注册

本版积分规则

QQ|关于我们|地图|手机版|发展基金|公安部备案号:34022202000084|郭氏网(始建于2006年)版权所有 ( 皖ICP备13000936号-3 )

GMT+8, 2026-3-18 02:58 , Processed in 0.025394 second(s), 19 queries , Gzip On.

Powered by Discuz! X3.5

© 2001-2025 Discuz! Team.

快速回复 返回顶部 返回列表