找回密码
 注册
查看: 6852|回复: 57

烦请哪位有识宗亲把下面的碑文给翻译一下,以便于阅读。

[复制链接]
发表于 2013-3-29 21:46:34 | 显示全部楼层 |阅读模式
发表于 2013-3-29 22:21:13 | 显示全部楼层
多看一下,其意自现

点评

有的字都不认识,意怎么能够自现?  发表于 2013-3-29 22:27
回复

使用道具 举报

发表于 2013-3-29 22:21:21 | 显示全部楼层
庆富宗亲你看不吗?

点评

好多词语看不明白,没有断句,还有的字不认识。  发表于 2013-3-29 22:25
回复

使用道具 举报

 楼主| 发表于 2013-3-29 22:28:38 | 显示全部楼层
尤其是后面的三行,确实看不懂。

点评

厉害!!学习。。  发表于 2013-4-24 20:16
回复

使用道具 举报

发表于 2013-3-31 13:35:08 | 显示全部楼层
不懂的字可以查阅<辞海>,但断句还是要慎重......
回复

使用道具 举报

发表于 2013-3-31 19:31:24 | 显示全部楼层
本帖最后由 郭树人 于 2013-4-2 18:02 编辑

根据大家意见,更正一下。

郭氏宗祠,由来己久,创自清乾隆,及道光而首次重修,前人言之纂祥,历经咸、同、光、宣,至民国又将百岁,鸳瓦为之参差,檐牙而颓败。于是合族麋集妥商,皆愿各解腰缠、鸠工庇材、重为修茸。乃曾不数日而工竣落成,虽未能金碧辉煌,亦不过风雨攸除之意。自此庙貌一新,盖上足慰数十代之灵爽,斯下足尽合族众之孝思,休哉!今便予作记,而予为之颂曰:载陈春露,致奠秋霜;芬芬苾苾,黍稷馨香;灌鬯求阴,焫萧求阳;以妥以侑,神保尚享;追远报本,勿替勿忘;命尔景福,万寿无疆。

点评

不知作者是写“神保是享”还是“神保尚享”,两者都可以。  发表于 2013-4-4 12:30
创自清乾隆,及道光而首次重修,前人言之纂祥  发表于 2013-4-1 13:00
以绥以侑,神宝尚飨,追远报本,勿替勿忘,命尔景福,万寿无疆  发表于 2013-4-1 12:57
以绥以侑,神宝尚享,追远报本,勿替勿忘,命尔景福,万寿无疆  发表于 2013-4-1 12:57
以绥以侑,神宝(尚飨)享,追远报本,勿替勿忘,命尔景福,万寿无疆 。 尚飨也作尚享。  发表于 2013-4-1 12:56
回复

使用道具 举报

发表于 2013-3-31 19:51:00 | 显示全部楼层
断得很好!
宗亲再有疑问,可问老仙,台湾的国学更正宗。
回复

使用道具 举报

发表于 2013-3-31 21:35:57 | 显示全部楼层
本碑文乃以簡體字書寫,本人閱讀時已倍感吃力。
不敢輕意注釋說明。
請那位宗親自願注釋說明,讓我也能一睹為快,謝謝!
回复

使用道具 举报

 楼主| 发表于 2013-3-31 21:52:16 | 显示全部楼层
感谢郭青宗亲关注。向宗亲学习。
回复

使用道具 举报

 楼主| 发表于 2013-3-31 23:06:55 | 显示全部楼层

       


郭氏宗祠,由来己久,创自清乾隆,及道光而首次重修。前人言之纂祥,历经咸、同、光、宣,至民国又将百岁,鸳瓦为之参差,檐牙而颓败。
创自清乾隆,及道光而首次重修.是不是可以认为:到了道 光年间首次重修?这样比创自清乾隆及道光,而首次重修更全适?
小山宗亲说的极是,我也是这样理解的。
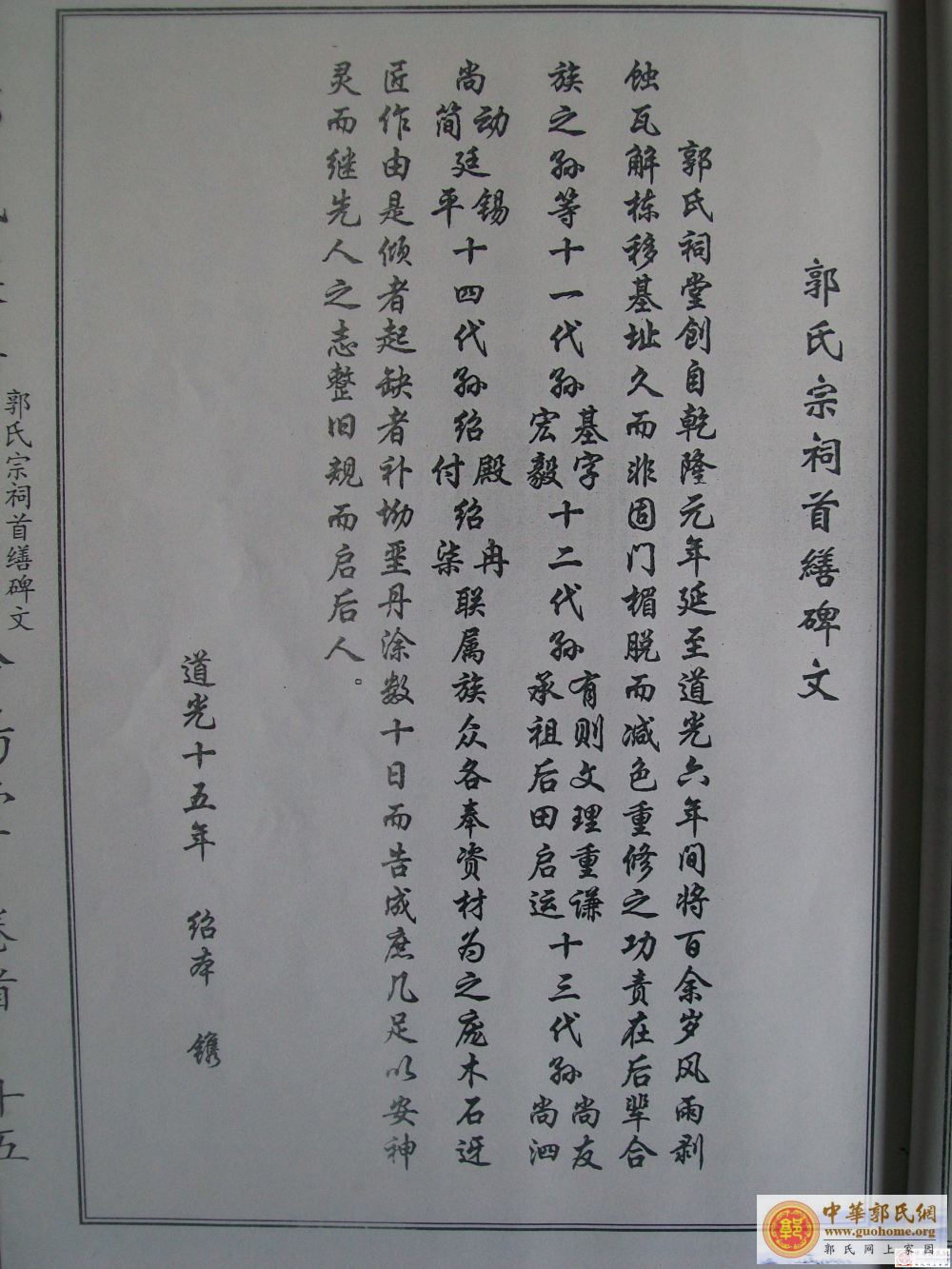
谱中还有“郭氏宗祠首繕碑文”:郭氏祠堂创自乾隆元年延至道光六年间将百余岁风雨剥蚀瓦解栋移基址久而非固门楣脱而减色重修之功责在后辈合族之孙等……………………………联属族众各奉资财为之庞木石迓匠作由是倾者起缺者补坳垩丹涂数十日而告成庶几足以安神灵而继先人之志整旧规而启后人。                                 道光十五年     绍本    镌
               
回复

使用道具 举报

发表于 2013-4-1 13:04:00 | 显示全部楼层
郭小山 发表于 2013-3-31 22:19
郭氏宗祠,由来己久,创自清乾隆,及道光而首次重修。前人言之纂祥,历经咸、同、光、宣,至民国又将百岁 ...

创自清乾隆,及道光而首次重修,前人言之纂祥
回复

使用道具 举报

发表于 2013-4-1 13:05:58 | 显示全部楼层
本帖最后由 郭安胤 于 2013-4-2 10:56 编辑


。。。。。。创自清乾隆,及道光而首次重修,前人言之纂祥。。。。。。


以绥以侑,神保尚飨,追远报本,勿替勿忘,命尔景福,万寿无疆
回复

使用道具 举报

发表于 2013-4-1 13:07:36 | 显示全部楼层
郭庆富 发表于 2013-3-31 23:06
郭氏宗祠,由来己久,创自清乾隆,及道光而首次重修。前人言之纂祥,历经咸、同、光、宣,至民国 ...


。。。。。。创自清乾隆,及道光而首次重修,前人言之纂祥。。。。。。


以绥以侑,神宝尚飨,追远报本,勿替勿忘,命尔景福,万寿无疆


漏了一字,就是尚飨(享)中的尚字。

点评

太强了,我就是在此处被难倒的,「神保享」不知所云。  发表于 2013-4-2 08:06

评分

1

查看全部评分

回复

使用道具 举报

发表于 2013-4-2 10:58:55 | 显示全部楼层
郭安胤 发表于 2013-4-1 13:07
。。。。。。创自清乾隆,及道光而首次重修,前人言之纂祥。。。。。。

学识有限,不敢言强。
宗长过誉矣。
回复

使用道具 举报

发表于 2013-4-2 11:38:03 | 显示全部楼层
郭树人 发表于 2013-3-31 19:31
郭氏宗祠,由来己久,创自清乾隆及道光。而首次重修前,人言之纂祥,历经咸、同、光、宣,至民国又将百岁, ...

做得很好了。
回复

使用道具 举报

发表于 2013-4-2 14:06:42 | 显示全部楼层
文言文学得不好。
回复

使用道具 举报

发表于 2013-4-2 17:42:20 | 显示全部楼层
郭树人 发表于 2013-3-31 19:31
郭氏宗祠,由来己久,创自清乾隆及道光。而首次重修前,人言之纂祥,历经咸、同、光、宣,至民国又将百岁, ...

呵呵,才疏学浅,都还给老师了, 终于长见识了。      
我开了个头,宗亲们活跃起来。

点评

做得不错,赞赏。  发表于 2013-4-2 18:14
樹人宗親表現優良 老仙給您加分  发表于 2013-4-2 18:08

评分

3

查看全部评分

回复

使用道具 举报

发表于 2013-4-2 18:10:56 | 显示全部楼层
郭安胤 发表于 2013-4-1 13:07
。。。。。。创自清乾隆,及道光而首次重修,前人言之纂祥。。。。。。

如果是“神保是飨”也可以,不知作者是用“神保是飨”还是“神保尚飨”,飨同享。这两个词的意思都差不多。
神保是对先祖神灵的美称。犹皇尸。
《诗。小雅。楚茨》:“先祖是皇,神保是飨。” 朱熹 集传:“神保,盖尸之嘉号。《楚辞》所谓灵保,亦以巫降神之称也。”尸,代神灵受祭祀的人。《宋史·乐志十二》:“神保聿归,敢以辞致。”参见“ 皇尸 ”。

点评

尚:含有崇尚、希望、或许的意思。飨:祭祀或请人享用酒食的意思。 "尚飨"亦作“ 尚享 ”。  发表于 2013-4-2 18:13
回复

使用道具 举报

发表于 2013-4-2 18:13:08 | 显示全部楼层
郭安胤 发表于 2013-4-2 18:10
如果是“神保是飨”也可以,不知作者是用“神保是飨”还是“神保尚飨”,飨同享。这两个词的意思都差不多 ...

尚:含有崇尚、希望、或许的意思。飨:祭祀或请人享用酒食的意思。"尚飨"亦作“ 尚享 ”。
回复

使用道具 举报

 楼主| 发表于 2013-4-4 19:49:50 | 显示全部楼层
100_3725.JPG

点评

这是栏杆《郭氏族谱》卷首第十五页。  发表于 2013-4-4 19:51
回复

使用道具 举报

您需要登录后才可以回帖 登录 | 注册

本版积分规则

QQ|关于我们|地图|手机版|发展基金|公安部备案号:34022202000084|郭氏网(始建于2006年)版权所有 ( 皖ICP备13000936号-3 )

GMT+8, 2026-3-18 01:35 , Processed in 0.039686 second(s), 24 queries , Gzip On.

Powered by Discuz! X3.5

© 2001-2025 Discuz! Team.

快速回复 返回顶部 返回列表