找回密码
 注册
查看: 7970|回复: 9

现居江苏连云港地区的郭氏家族寻根

[复制链接]
发表于 2013-9-13 17:03:25 | 显示全部楼层 |阅读模式
本帖最后由 №瓶子--空了 于 2013-9-14 10:49 编辑

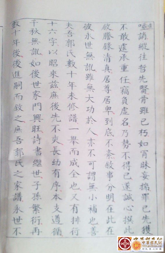
25.jpg 23.jpg 2.jpg 3.jpg 4.jpg 5.jpg 6.jpg 7.jpg 9.jpg 10.jpg 11.jpg 12.jpg 26.jpg 33.jpg 50-51.jpg 52.jpg



我叫郭相平: 郭潘林(二十三世)-郭世山(二十四)-郭其铜(二十五世)-郭相平(二十六世)   

8.jpg
24.jpg
36.jpg
39.jpg
40.jpg
46.jpg
48.jpg
1.jpg
52.jpg
10.jpg
11.jpg
12.jpg
发表于 2013-9-14 09:35:58 | 显示全部楼层
迁徙、始祖、字辈等需要文字说明一下。
回复

使用道具 举报

发表于 2013-9-14 12:44:13 | 显示全部楼层
学习了。     
回复

使用道具 举报

发表于 2013-9-14 17:07:47 | 显示全部楼层
能够再详细的说下吗,信息尽可能多的提供,找到的几率就会很大
回复

使用道具 举报

 楼主| 发表于 2013-9-15 12:47:49 | 显示全部楼层
我就只有这些资料了,已经都上传了
回复

使用道具 举报

发表于 2013-9-25 15:57:34 | 显示全部楼层
连云港东海郭成学习了
回复

使用道具 举报

发表于 2013-10-25 19:15:11 | 显示全部楼层
这个和日照的是一样的
回复

使用道具 举报

发表于 2013-10-25 19:28:06 | 显示全部楼层
谱和日照的是一样的,辈分都一样
回复

使用道具 举报

发表于 2014-11-2 20:24:04 | 显示全部楼层
我是日照东港区的。该谱和我们这里的完全一样。听老人讲,我们的先人就是从江苏东海迁来日照的。多谢上传资料。
回复

使用道具 举报

您需要登录后才可以回帖 登录 | 注册

本版积分规则

QQ|关于我们|地图|手机版|发展基金|公安部备案号:34022202000084|郭氏网(始建于2006年)版权所有 ( 皖ICP备13000936号-3 )

GMT+8, 2026-3-17 23:59 , Processed in 0.066465 second(s), 22 queries , Gzip On.

Powered by Discuz! X3.5

© 2001-2025 Discuz! Team.

快速回复 返回顶部 返回列表