找回密码
 注册
查看: 3202|回复: 4

嘉靖《宿州志》 卷三“职官志”

[复制链接]
发表于 2013-2-20 21:46:34 | 显示全部楼层 |阅读模式
本帖最后由 郭庆富 于 2013-2-20 22:12 编辑

SAM_0171.JPG      
郭寅 字时正,浙江嘉兴人。

SAM_0173.JPG
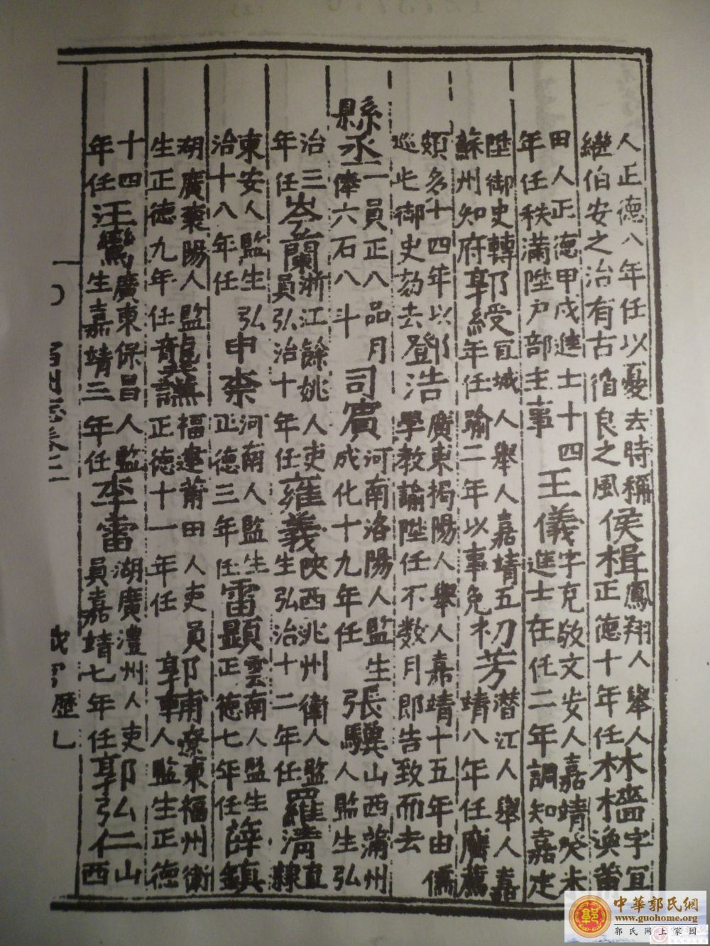
知县 郭綬 宜城人 举人 嘉靖五年任。
县丞 郭辅 辽东福州衛人 监生 正德十四年任
         郭弘仁 山西路州人 监生 嘉靖九年任
发表于 2013-2-21 06:44:04 | 显示全部楼层
地方志记录,同样会荣宗耀祖的、
回复

使用道具 举报

发表于 2013-2-21 09:24:56 | 显示全部楼层
宿州同知郭寅。
回复

使用道具 举报

发表于 2013-2-21 09:27:29 | 显示全部楼层
郭绶、宜城
郭辅  辽东福州卫

郭弘仁山西人
回复

使用道具 举报

您需要登录后才可以回帖 登录 | 注册

本版积分规则

QQ|关于我们|地图|手机版|发展基金|公安部备案号:34022202000084|郭氏网(始建于2006年)版权所有 ( 皖ICP备13000936号-3 )

GMT+8, 2026-3-18 02:50 , Processed in 0.026759 second(s), 24 queries , Gzip On.

Powered by Discuz! X3.5

© 2001-2025 Discuz! Team.

快速回复 返回顶部 返回列表