找回密码
 注册
查看: 4188|回复: 6

郭氏重修谱序

[复制链接]
发表于 2012-12-2 12:29:31 | 显示全部楼层 |阅读模式
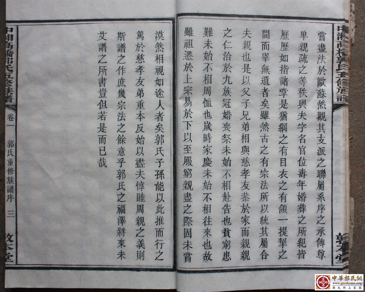
此郭氏重修谱序,请大家分析是否为麻岗二修谱序。
郭氏重修谱序1.JPG
郭氏重修谱序2.JPG
郭氏重修谱序3.JPG
 楼主| 发表于 2012-12-2 12:37:01 | 显示全部楼层
作者:金幼孜(1367-1431),名善,以字行,号退庵。 今江西省峡江县罗田镇徘山村人(明朝属新淦县人)。建文二年(1400)进士,授户科给事中。永乐元年(1403)任翰林检讨。与吉水学士解缙同值文渊阁,升侍讲,为太子讲学。
回复

使用道具 举报

发表于 2012-12-2 16:31:22 | 显示全部楼层
建议用“重修”字样为好,不必注明“第N次修”。
回复

使用道具 举报

发表于 2012-12-2 20:27:59 | 显示全部楼层
回复

使用道具 举报

发表于 2012-12-3 10:29:12 | 显示全部楼层
:):):)
回复

使用道具 举报

发表于 2012-12-3 14:16:00 | 显示全部楼层
值得研究
回复

使用道具 举报

发表于 2012-12-3 21:20:33 | 显示全部楼层
我家族谱没有这个序,
所以确定这不是烱村世系、贝溪世系的族谱序。

图片上明确写的是 「中湘高桥郭氏五修族谱 敦本堂」。
楼主为何说「请大家看看是否为麻岗二修谱序」?

点评

高桥郭氏也是源自麻岗,这个重修谱序是写在前面郭氏古谱序之后,看内容是源自麻岗谱里来的,不是中湘高桥郭氏在湘潭时的序。  发表于 2012-12-4 09:00
回复

使用道具 举报

您需要登录后才可以回帖 登录 | 注册

本版积分规则

QQ|关于我们|地图|手机版|发展基金|公安部备案号:34022202000084|郭氏网(始建于2006年)版权所有 ( 皖ICP备13000936号-3 )

GMT+8, 2026-3-18 03:52 , Processed in 0.032120 second(s), 22 queries , Gzip On.

Powered by Discuz! X3.5

© 2001-2025 Discuz! Team.

快速回复 返回顶部 返回列表