找回密码
 注册
查看: 4238|回复: 0

[分享]江西定南洪洲族郭氏家族---郭福昌

[复制链接]
发表于 2008-5-8 08:56:00 | 显示全部楼层 |阅读模式

 

 

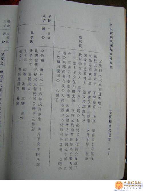
江西定南洪洲族郭氏家族---郭福昌(提供)fficeffice" />



 











       江西定南洪洲族郭氏家族家谱---郭福昌(提供),本支郭氏为郭子仪第八子郭暧后人。字派和源流图附后。欢迎本支郭氏后人续家谱。欢迎本支郭氏后人续家谱,请与郭福昌联系。













 

[分享]江西定南洪洲族郭氏家族---郭福昌

[分享]江西定南洪洲族郭氏家族---郭福昌

[分享]江西定南洪洲族郭氏家族---郭福昌

[分享]江西定南洪洲族郭氏家族---郭福昌

[分享]江西定南洪洲族郭氏家族---郭福昌

[分享]江西定南洪洲族郭氏家族---郭福昌

[分享]江西定南洪洲族郭氏家族---郭福昌

[分享]江西定南洪洲族郭氏家族---郭福昌

[此帖子已经被作者于2008-5-8 8:57:47编辑过]
您需要登录后才可以回帖 登录 | 注册

本版积分规则

QQ|关于我们|地图|手机版|发展基金|公安部备案号:34022202000084|郭氏网(始建于2006年)版权所有 ( 皖ICP备13000936号-3 )

GMT+8, 2026-3-18 03:14 , Processed in 0.045862 second(s), 21 queries , Gzip On.

Powered by Discuz! X3.5

© 2001-2025 Discuz! Team.

快速回复 返回顶部 返回列表