找回密码
 注册
查看: 4876|回复: 5

栏杆郭氏辈分字派

[复制链接]
发表于 2012-6-7 22:17:52 | 显示全部楼层 |阅读模式
发表于 2012-6-8 07:27:19 | 显示全部楼层
只有这么多吗??

点评

继勇是哪里人?  发表于 2013-1-18 21:02
回复

使用道具 举报

 楼主| 发表于 2012-6-8 19:48:01 | 显示全部楼层
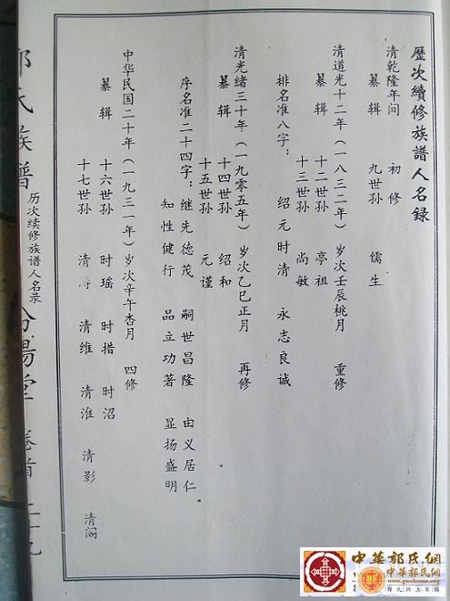
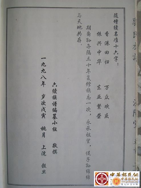
三次续谱共计四十八字,已经不少了。全部用完可以延续一千二百年之久。
回复

使用道具 举报

发表于 2013-1-13 16:36:25 | 显示全部楼层
什么时候能查到郭氏的家谱,就好了!

点评

踏雪,你是郭良红吗?如是,请讲一下你的上面和下面的辈分。  发表于 2013-1-18 20:58
回复

使用道具 举报

发表于 2013-1-15 17:18:47 | 显示全部楼层
好好收藏!
回复

使用道具 举报

发表于 2014-3-11 21:18:38 来自手机 | 显示全部楼层
我知道,四代辈分,活志良成,下面不知道了
回复

使用道具 举报

您需要登录后才可以回帖 登录 | 注册

本版积分规则

QQ|关于我们|地图|手机版|发展基金|公安部备案号:34022202000084|郭氏网(始建于2006年)版权所有 ( 皖ICP备13000936号-3 )

GMT+8, 2026-3-18 02:48 , Processed in 0.028177 second(s), 26 queries , Gzip On.

Powered by Discuz! X3.5

© 2001-2025 Discuz! Team.

快速回复 返回顶部 返回列表