找回密码
 注册
楼主: 郭发源

洪洞郭氏家谱

[复制链接]
发表于 2013-7-14 16:58:54 | 显示全部楼层
山东诸城郭培军 发表于 2012-9-7 16:05
发源先生:
      谢谢您的回复。祖辈相传中,诸城郭氏也有“洪武二年朱洪武发山东”的说法。我们辈份排列 ...

是日照两河吗??
回复

使用道具 举报

发表于 2013-7-22 13:43:24 | 显示全部楼层
本人曾在上海看到过民国十四年的山西沁县老槐树家谱,始祖为文通文俊两兄弟,如今两支都发展成巨族了
回复

使用道具 举报

发表于 2013-12-9 21:19:10 | 显示全部楼层
发源宗亲,可否帮助我们查找一下祖籍情况,拜托!
回复

使用道具 举报

发表于 2014-3-25 03:04:33 | 显示全部楼层
山东诸城郭培军 发表于 2012-9-7 16:05
发源先生:
      谢谢您的回复。祖辈相传中,诸城郭氏也有“洪武二年朱洪武发山东”的说法。我们辈份排列 ...

你是哪字辈的?
回复

使用道具 举报

发表于 2014-4-5 12:58:11 | 显示全部楼层
有『朝聘一士庆』的家谱的能传上来吗
回复

使用道具 举报

发表于 2014-5-27 16:27:57 | 显示全部楼层
发源宗亲,我是甘肃郭氏后裔,据家谱记载,我祖上是明初从山西洪洞移民到甘肃的,始祖名讳郭从古,一世祖名讳郭彦礼,我也到洪洞县找过家谱,可惜没有找到,能否帮忙找一下
回复

使用道具 举报

发表于 2014-8-25 22:13:36 | 显示全部楼层
我是山东莱芜的,姓郭。我们正在续修郭氏族谱。从1933年重修的莱芜郭氏族谱中知,莱芜郭氏部分支脉从十三世以后分别迁往:山东省:费县、邹平、沂水、博山、淄川;东北三省;山西、陕西、安徽、江南各地。现已无法联系。凡知道自己的祖先是从山东莱芜迁出的郭姓族亲或知情者请与我联系。联系电话:13863494305.
回复

使用道具 举报

发表于 2014-12-16 11:42:51 | 显示全部楼层
洪洞郭盆村现在有姓郭的没有?
回复

使用道具 举报

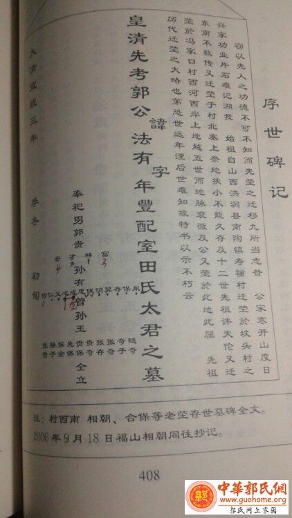
发表于 2016-3-27 19:25:24 | 显示全部楼层
洪洞县里有没有碑文上的地名?
QQ图片20160327192611.jpg
回复

使用道具 举报

发表于 2016-3-27 19:28:02 | 显示全部楼层

洪洞县里有没有碑文上的地名?南陶镇寿補村?
回复

使用道具 举报

发表于 2016-8-2 23:29:09 | 显示全部楼层
有谁知道十八瓣郭???
回复

使用道具 举报

发表于 2016-10-8 16:14:47 | 显示全部楼层
宗亲你好,能否提供始祖郭文有相关资料?本人始祖郭文盛,传为明初洪洞迁来(山东寿光古城北冯),寻相关资料及关联关系信息!
回复

使用道具 举报

发表于 2018-1-1 18:11:19 | 显示全部楼层
多传几页,更好。
回复

使用道具 举报

发表于 2019-1-14 22:43:43 来自手机 | 显示全部楼层
世 田 好 三 云 ,书 中 先 有 文 。道 德 全 家 宝 , 万 代 永 乐 祥 。河南省开封县刘店西马庄村,道光年间自山西洪洞县大槐树移民,具体移出位置不详。在西马庄生活大概有二百年,先祖有郭子敬、郭元 郭举、郭魁、郭春、郭坤、郭万明、郭万年、近祖郭财、郭顺、郭钱。世字辈以前的先辈都已经离世了,之前的事情知道的后人不多,目前排至书子辈。为便于寻根,能和辈分续上的同族望联系,QQ:277609749
回复

使用道具 举报

发表于 2020-5-1 17:52:11 | 显示全部楼层
山东诸城郭培军 发表于 2012-9-6 11:15
发源先生:
      看到您发的家谱照片,我感觉和我们山东诸城郭氏可能有渊源。请赐教。诸城郭氏家谱内容不全 ...

桃园————岳水。郭沛玉13963681154.正在修订家谱中,请联系!
回复

使用道具 举报

发表于 2021-1-19 12:50:06 | 显示全部楼层
我是河南许昌襄城郭庄村人,明代始迁祖叫郭彦经,中间七代无记载,第九代叫郭维屏,第十代郭长安,来安,陆安--雍正年间人,十一代叫郭從治,十二代叫郭永立,郭永平--乾隆年间人。
彦字辈,维字辈,安字辈,從字辈,永字辈,咱们似曾相似。
回复

使用道具 举报

您需要登录后才可以回帖 登录 | 注册

本版积分规则

QQ|关于我们|地图|手机版|发展基金|公安部备案号:34022202000084|郭氏网(始建于2006年)版权所有 ( 皖ICP备13000936号-3 )

GMT+8, 2026-3-17 22:02 , Processed in 0.034385 second(s), 18 queries , Gzip On.

Powered by Discuz! X3.5

© 2001-2025 Discuz! Team.

快速回复 返回顶部 返回列表