找回密码
 注册
查看: 2463|回复: 0

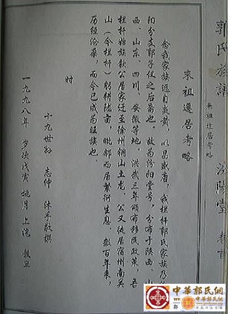
栏杆郭氏始祖迁居考略

[复制链接]
发表于 2012-3-16 13:56:47 | 显示全部楼层 |阅读模式
100_3709.JPG
您需要登录后才可以回帖 登录 | 注册

本版积分规则

QQ|关于我们|地图|手机版|发展基金|公安部备案号:34022202000084|郭氏网(始建于2006年)版权所有 ( 皖ICP备13000936号-3 )

GMT+8, 2026-3-18 02:49 , Processed in 0.026371 second(s), 21 queries , Gzip On.

Powered by Discuz! X3.5

© 2001-2025 Discuz! Team.

快速回复 返回顶部 返回列表