找回密码
 注册
查看: 1269|回复: 8

又找寻到一支郭氏家族从姑苏迁扬州江都大桥北郭姚庄

[复制链接]
发表于 2022-11-10 15:32:05 | 显示全部楼层 |阅读模式
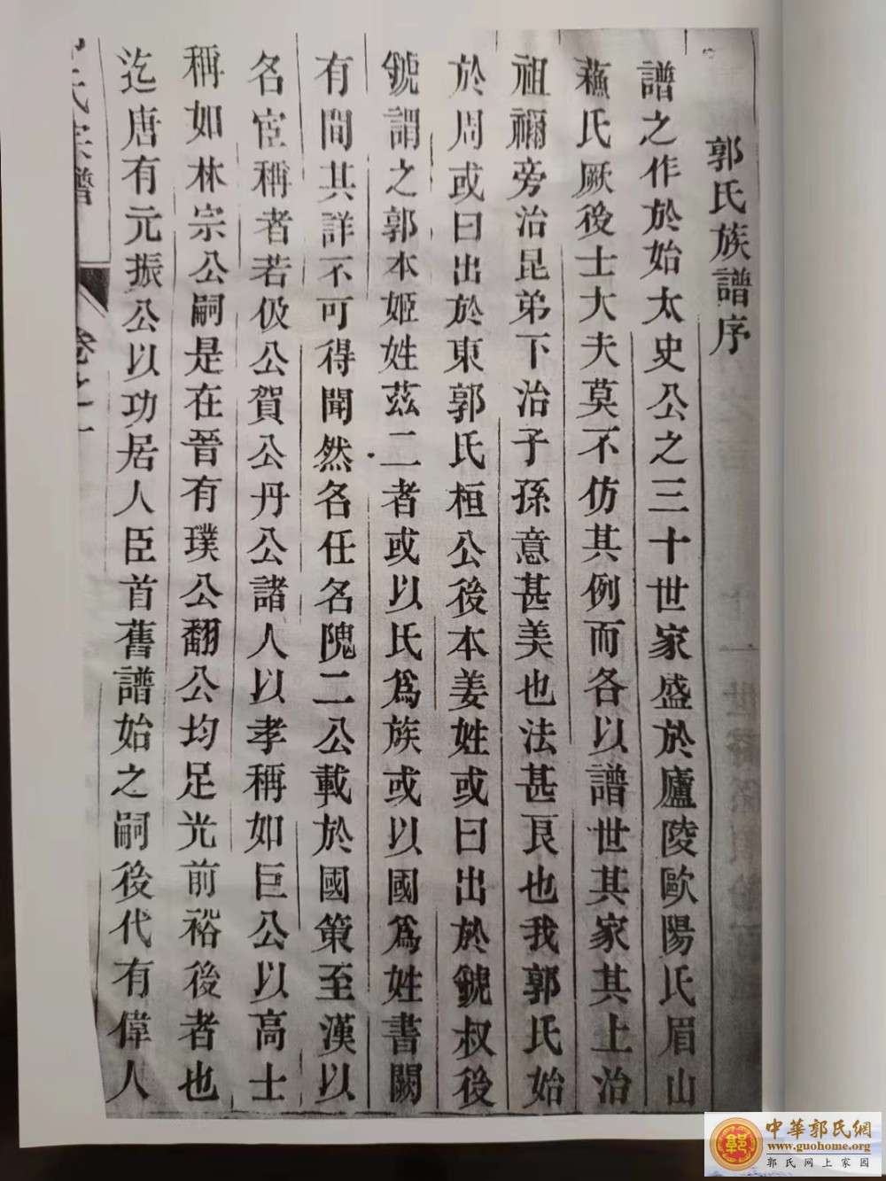
近期,又找寻到一支郭氏家族从姑苏迁扬州江都大桥北郭家庄,家谱中记载洪武年间奉旨迁江都谢桥郭姚庄
 楼主| 发表于 2022-11-10 15:33:36 | 显示全部楼层
谱序1.jpg
回复

使用道具 举报

 楼主| 发表于 2022-11-10 15:34:07 | 显示全部楼层
谱序2.jpg
回复

使用道具 举报

 楼主| 发表于 2022-11-10 15:34:41 | 显示全部楼层
谱序3.jpg
回复

使用道具 举报

 楼主| 发表于 2022-11-10 15:35:21 | 显示全部楼层
谱序4.jpg
回复

使用道具 举报

 楼主| 发表于 2022-11-10 15:35:44 | 显示全部楼层
谱序5.jpg
回复

使用道具 举报

 楼主| 发表于 2022-11-10 15:36:05 | 显示全部楼层
谱序6.jpg
回复

使用道具 举报

 楼主| 发表于 2022-11-10 15:36:21 | 显示全部楼层
谱序7.jpg
回复

使用道具 举报

 楼主| 发表于 2022-11-10 15:36:37 | 显示全部楼层
谱序8.jpg
回复

使用道具 举报

您需要登录后才可以回帖 登录 | 注册

本版积分规则

QQ|关于我们|地图|手机版|发展基金|公安部备案号:34022202000084|郭氏网(始建于2006年)版权所有 ( 皖ICP备13000936号-3 )

GMT+8, 2026-3-18 02:13 , Processed in 0.031908 second(s), 28 queries , Gzip On.

Powered by Discuz! X3.5

© 2001-2025 Discuz! Team.

快速回复 返回顶部 返回列表