找回密码
 注册
查看: 12815|回复: 2

山东省东阿县郭桃村郭氏族谱考论

[复制链接]
发表于 2017-10-22 03:16:03 | 显示全部楼层 |阅读模式
本帖最后由 理想希望 于 2018-2-17 22:34 编辑

             东阿县郭桃村郭氏族谱考论
         山东省东阿县牛角店镇郭桃村(原名郭家桃园)始迁祖字辈,四世)等东平郭氏(一世)三德字(明政号)(详见:山东东平郭氏始祖名讳字号考论
http://bbs.guohome.org/forum.php?mod=viewthread&tid=19041&fromuid=13379
   一文)失传的曾孙。请看:

一、郭家桃园1952年族谱
  
3.jpg
郭家桃园1952年族谱1
明确载明:始祖宗源自山西洪洞县城北十八里郭堡村(邨)。

4.jpg
郭家桃园1952年族谱2


5.jpg
    郭家桃园1952年族谱3


6.jpg
   郭家桃园1952年族谱4

二、郭家桃园1963年族谱

    郭家桃园1.jpg
     郭家桃园族谱1

郭家桃园2.jpg
      郭家桃园族谱2

郭家桃园3.jpg
    郭家桃园族谱3

郭家桃园4.jpg
   郭家桃园族谱4


郭家桃园5.jpg
   郭家桃园族谱5

郭家桃园6.jpg
    郭家桃园族谱6

郭家桃园7.jpg
   郭家桃园族谱7

郭家桃园8.jpg
    郭家桃园族谱8

郭家桃园9.jpg
   郭家桃园族谱9


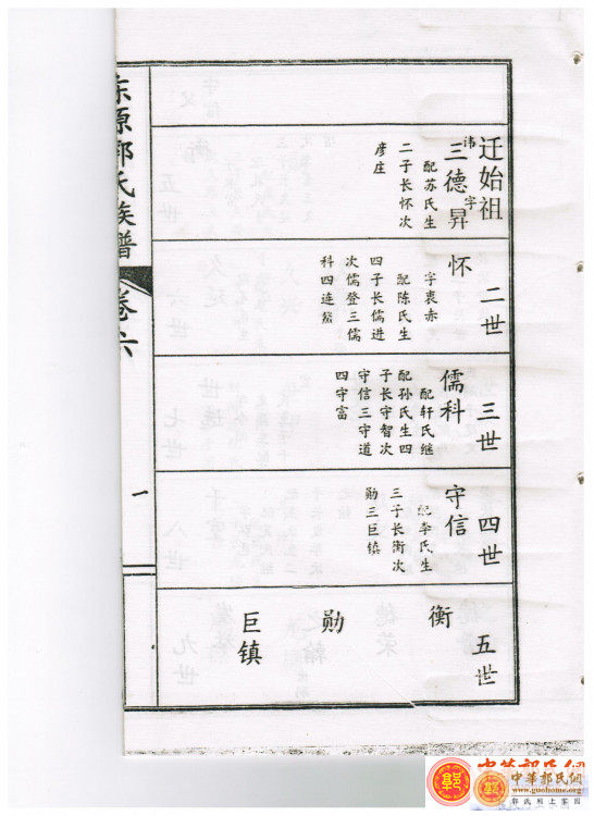
三、《东原郭氏族谱
       《东原郭氏族谱》四世字辈

    《东原郭氏族谱》长支四世是讳守礼与讳守仁,因讳守礼(三世长支讳儒进之子)载至七世已全部失传,由守仁”支三世二支之长支后裔承位族谱长支   
    1-001.jpg
        《东原郭氏族谱》(2004年版) 1-001(三世长支四世讳守礼后裔失传



    1-002.jpg
《东原郭氏族谱》(2004年版) 1-002(二世二支)

    1-003.jpg
    《东原郭氏族谱》(2004年版) 1-003

    1-004.jpg
《东原郭氏族谱》(2004年版) 1-004
  三世长支四世讳守礼后裔至此全部失传

1-005.jpg
《东原郭氏族谱》(2004年版) 1-005(三世二支之长支讳守仁
承位族谱长支,后裔主居三里庄
2-001.jpg
   《东原郭氏族谱》(2004年版)2-001(二支四世讳守义后裔主居昆山

3-001.jpg
   《东原郭氏族谱》(2004年版) 3-001(三支四世讳守德后裔主居郭楼

4-001.jpg
   《东原郭氏族谱》(2004年版)4-001(四支四世讳守志后裔主居郭楼

5-001.jpg
   《东原郭氏族谱》(2004年版)5-001(五支四世讳守智后裔主居轩堂

6-001.jpg
    《东原郭氏族谱》(2004年版)6-001(六支四世讳守信后裔主居徐庄

7-001.jpg
   《东原郭氏族谱》(2004年版) 7-001(七支四世讳守道后裔主居王庄

8-001.jpg
  《东原郭氏族谱》(2004年版) 8-001(八支四世讳守富后裔主居河南省台前县孙口乡西影堂

9-001.jpg
   《东原郭氏族谱》(2004年版)9-001(九支四世讳芑峰后裔主居汶上县戚姬村

10-001.jpg

   《东原郭氏族谱》(2004年版) 10-001(十支四世讳守贵后裔主居郭那里、郭家庄
     二世二支三世长支讳儒京、二支讳儒会失传

或详见:
   
1、《东原郭氏族谱》(1937年版扫描)(卷一)
http://www.360doc.com/editphoto2.aspx?articleid=458866109

2、《东原郭氏族谱》(1937年版)卷二 http://www.360doc.com/content/16/1008/17/2723691_596733529.shtml

3、《东原郭氏族谱》(1937年版)卷三 http://www.360doc.com/content/16/1015/17/2723691_598653813.shtml

4、《东原郭氏族谱》(1937年版)卷四 http://www.360doc.com/content/16/1015/20/2723691_598683735.shtml

5、《东原郭氏族谱》(1937年版)卷五 http://www.360doc.com/content/16/1015/20/2723691_598696383.shtml

6、《东原郭氏族谱》(1937年版)卷六 http://www.360doc.com/content/16/1016/08/2723691_598781383.shtml

7、《东原郭氏族谱》(1937年版)卷七 http://www.360doc.com/content/16/1016/11/2723691_598808165.shtml

8、《东原郭氏族谱》(1937年版)卷八 http://www.360doc.com/content/16/1016/12/2723691_598826420.shtml

9、《东原郭氏族谱》(1937年版)卷九 http://www.360doc.com/content/16/1016/14/2723691_598842074.shtml
        
      由上列族谱可见:《东原郭氏族谱》四世字辈(九支四世讳芑峰除外)。


东阿郭桃村始迁祖字辈
      比较郭家桃园(今郭桃村)族谱5、6(见下图5、6)可知:郭桃村始迁祖(见郭家桃园族谱5)与“始伯祖考讳守言、守信”(见郭家桃园族谱6)是弟兄关系,并且玉是守言、守信的弟弟,所以字辈。
       郭家桃园5.jpg          郭家桃园6.jpg
             郭家桃园族谱5                                  郭家桃园族谱6
  
五、郭桃村始迁祖东平始迁祖三德曾孙
        郭家桃园(今郭桃村)族谱载明始祖三德字明政三才字占举(见 郭家桃园族谱4),并且已得出字辈(见四)
      东平《东原郭氏族谱》始迁祖讳三德的谱列曾孙(四世)都是字辈:礼、仁、义、德、志、智、信、道、富、贵、(芑)峰(详见上列《东原郭氏族谱》(2004年版)各支族谱);
      既然郭桃村的始迁祖字辈,和东平的四世祖字辈一样,那么字辈)必然是三德祖的曾孙字辈   四世)。
       综上所述
      东阿郭桃村(郭家桃园)始迁祖字辈,四世守言守信东平郭氏始迁祖(一世)三德字(明政号)失传的曾孙








请看:
     
      1、山东东平郭氏始祖家庙墓碑
http://bbs.guohome.org/forum.php?mod=viewthread&tid=108826&fromuid=13379
(出处: 中华郭氏网)
      2、山东东平郭氏始祖名讳字号考论
http://bbs.guohome.org/forum.php?mod=viewthread&tid=19041&fromuid=13379
(出处: 中华郭氏网)
      3、郭氏宗亲(汶上、肥城、东平、高唐)行辈对应表
http://bbs.guohome.org/forum.php?mod=viewthread&tid=13138&fromuid=13379
(出处: 中华郭氏网)
      4、 山东汶上郭氏始祖名字考论
http://bbs.guohome.org/forum.php?mod=viewthread&tid=108881&fromuid=13379
(出处: 中华郭氏网)
      5、高唐郭氏始祖碑考论
http://bbs.guohome.org/forum.php?mod=viewthread&tid=14348&fromuid=13379
(出处: 中华郭氏网)







发表于 2017-10-22 09:42:09 来自手机 | 显示全部楼层
有谱为证,我们是一家。
回复

使用道具 举报

发表于 2018-1-16 09:58:48 | 显示全部楼层
我家迁始祖廉公,永乐二年由山东即墨县迁至河北沧县至今,已有二十三世,请问宗亲们,我这支属于哪支郭氏?
回复

使用道具 举报

您需要登录后才可以回帖 登录 | 注册

本版积分规则

QQ|关于我们|地图|手机版|发展基金|公安部备案号:34022202000084|郭氏网(始建于2006年)版权所有 ( 皖ICP备13000936号-3 )

GMT+8, 2026-3-18 03:23 , Processed in 0.029624 second(s), 21 queries , Gzip On.

Powered by Discuz! X3.5

© 2001-2025 Discuz! Team.

快速回复 返回顶部 返回列表