找回密码
 注册
查看: 18891|回复: 8

山东东平郭氏始祖名讳字号考论

[复制链接]
发表于 2017-10-29 09:57:58 | 显示全部楼层 |阅读模式
本帖最后由 理想希望 于 2018-10-22 23:16 编辑

       东平郭氏始祖名讳字号考论

       东平(古称东原)郭氏始祖三德明政
    史料记载:东平(东原)郭氏始祖兄弟五人:长公三才(字占举配周氏迁居汶上白村(今槚柏村)、二公三钢配鲁氏迁居长清城西郭庄、三公三畏(字北城)配刘氏迁居肥城西佛庄(今桃园镇郭刘村)、四公三德字(明政)(号)配苏氏迁居东平城西郭家楼(今东平湖西,银山镇郭家楼)、五公三老字世威、号虎配王氏迁居高堂城东五里庄(今郭五里村,详见:
高唐 郭氏始祖碑考论
  http://www.360doc.com/content/16/1015/07/2723691_598534828.shtml  )(括号内文字根据相关史料添加,供研究考证)。

    请看史料记载
、《东原郭氏族谱》
        11937年版《东原郭氏族谱》
(详见《东原郭氏族谱》(1937年版扫描)  http://www.360doc.com/content/15/0329/08/2723691_458866109.shtml
    东p1.jpg
      1937年版《东原郭氏族谱》1
东p2.jpg
     1937年版《东原郭氏族谱》2
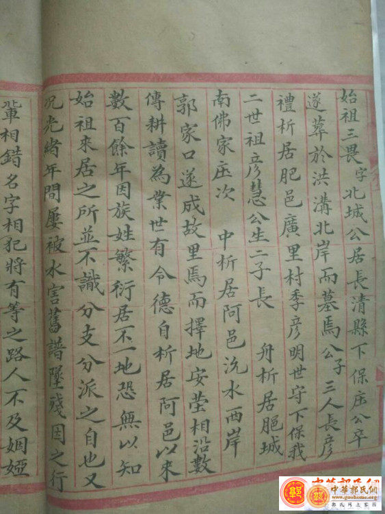
  1、   载明:……散居洪洞待至成祖富民实北京,我族自山西洪洞东迁者82人,其里居难以尽数,   由青洲分居者兄弟五人犹可胜道:
长居汶上、次居肥城、三居长清、五居茌平延至高唐,我祖讳昇行四分居东平城西郭家楼庄
成祖明成祖朱棣(1360年5月2日-1424年8月12日),大明成祖,汉族,是明朝第三位皇帝,1402年-1424年在位,年号永乐
故后人称其为永乐帝、永乐大帝、永乐皇帝等。

       详见:山东汶上、长清、肥城、东平、高唐、青州、维坊等地的郭氏为自山西洪洞东迁的同族人
       http://bbs.guohome.org/forum.php?mod=viewthread&tid=13406&fromuid=13379
      (出处: 中华郭氏网)


2、(二世长支讳怀祖)由故里分为八支周围数十庄村,(二世二支讳彦荘祖)由本境迁居外县,相距数百余里。
  
    谱序说明:二世二支彦荘由本境迁居外县。


东p3.jpg
   1937年版《东原郭氏族谱》3

肥城1

肥城1
  1937年版《东原郭氏族谱》卷一1
载明:始祖讳昇(号),二世:长怀、次彦荘 ,字辈。
五世祖讳洪诰支失传。

37-2.jpg
1937年版《东原郭氏族谱》卷一2
载明:二世二支三世长支讳儒京、二支讳儒会两支失传
(谱序说明:二世二支彦荘由本境迁居外县。)
  
37-3.jpg
1937年版《东原郭氏族谱》卷一3

37-4.jpg
1937年版《东原郭氏族谱》卷一4
至此《东原郭氏族谱》真正的四世长支守礼支全部失传

37-5.jpg
1937年版《东原郭氏族谱》卷一5
《东原郭氏族谱》四世二支守仁支,因真正的四世长支讳守礼支全部失传,继列《东原郭氏族谱》续长支今长支)。


      2、   1983年版《东原郭氏族谱》《世系访问记》
   《东原郭氏族谱》《世系访问记》是根据青州老谱作的记载,见下:

东p.jpg
      《东原郭氏族谱》 《世系访问记》1

东p0.jpg
         《东原郭氏族谱》《世系访问记》2
      根据青州老谱载明东平始祖(四公三德五兄弟的名讳迁居地
       长公三才配周氏迁居汶上白村(今贾柏村),
    二公三钢配鲁氏迁居长清城西郭庄
    三公三畏配刘氏迁居肥城西佛庄,
    四公三德配苏氏迁居东平城西郭家楼
  五公三老配王氏迁居高堂城东五里庄
     或见《东原郭氏族谱》始祖——世系访问记
http://bbs.guohome.org/forum.php?mod=viewthread&tid=12630&fromuid=13379
(出处: 中华郭氏网)

     3、 2004年版《东原郭氏族谱》重印《世系访问记》
2004年版《世系访问记》1.jpg
           2004年版《东原郭氏族谱》《世系访问记》1

2004年版《世系访问记》2.jpg
           2004年版《东原郭氏族谱》《世系访问记》2

2004年版《世系访问记》3.jpg
         2004年版《东原郭氏族谱》《世系访问记》3

    4、2004年版《东原郭氏族谱》谱序

谱序(2004版)1.jpg
    2004年版《东原郭氏族谱》谱序1
谱序中载明族谱由四世祖(三支)讳守德主持“于明朝万历36公元1608)间初书于石,后载于册


谱序(2004版)2.jpg
          2004年版《东原郭氏族谱》谱序2

      5、 2004年版《东原郭氏族谱》行辈
行辈(2004年版).jpg
        载明排行(从第14代起):
        文行忠庆广    道传心法长
      诗学修天贵    奉宝安家帮
      正令志培厚    东方旭泰昌
      树平开盛运    乐业福其祥
      永吉良锦才    泽贤英俊康
详见:郭氏宗亲(汶上 肥城 东平 高唐)行辈对应表
http://bbs.guohome.org/forum.php?mod=viewthread&tid=13138&fromuid=13379
(出处: 中华郭氏网)

郭氏宗亲(汶上 肥城 东平 高唐)行辈对应表
  http://www.360doc.com/content/15/0819/10/2723691_493374890.shtml

二、肥城乾隆16年(1751)《郭氏族谱序》

肥城1.jpg
肥城乾隆16年(1751)《郭氏族谱序》1
(载明:三才迁居汶上白村

肥城2

肥城2

肥城乾隆16年(1751)《郭氏族谱序》2
(载明:三钢迁居长清城西郭家庄、再次三畏北城,三德迁居城南郭家庄、五三老迁居高堂州五里庄

肥城3.jpg
    肥城乾隆16年(1751)《郭氏族谱序》3

肥城4.jpg
   肥城乾隆16年(1751)《郭氏族谱序》 4

三、东阿郭口《谷城郭氏族谱》
    1明朝崇祯九年(公元1636《谷城郭氏族谱》序

东阿郭口.jpg封.jpg
  《谷城郭氏族谱》

东阿郭口1.jpg
  明朝崇祯九年(公元1636谷城郭氏族谱郭氏原修族谱序》1
(东阿郭口藏)
载明:三才汶上县三钢长清县,三省茌平城南郭家庄,三老公高堂县城东五里庄,我始祖三畏北城长清县下保庄
     此谱序是肥城始祖讳三畏北城七世孙在天(二世三支讳彦慧祖次子中之玄孙)祖记载。

东阿郭口2.jpg
明朝崇祯九年(公元1636谷城郭氏族谱郭氏原修族谱序》2
(东阿郭口藏)
详见:
谷城郭氏族谱  http://www.360doc.com/content/16/1030/18/2723691_602584762.shtml

    2、东阿郭口光绪22年1896年)《郭氏谱序》

6.jpg
    东阿郭口光绪22年1896年)《郭氏谱序》1
                 (郭口分支平阴藏)
载明兄弟五人所居之处:三才公汶上县,三钢公长清县三省公茌平城南郭家庄,三老公高堂城东五里庄,唯我

7.jpg
东阿郭口光绪22年1896年)《郭氏谱序》2
             (郭口分支平阴藏)
始祖三畏北城公长清县下保庄。

8.jpg
  东阿郭口光绪22年1896年)《郭氏谱序》3
                 (郭口分支平阴藏)

9.jpg
    东阿郭口光绪22年1896年)《郭氏谱序》4
                  (郭口分支平阴藏)
1.jpg
东阿郭口光绪22年1896年)《郭氏谱序》5
                  (郭口分支平阴藏)

2.jpg
东阿郭口光绪22年1896年)《郭氏谱序》6
                  (郭口分支平阴藏)

四、东阿郭家桃园郭氏族谱
     东阿县羊角店镇郭桃村(原郭家桃园)的族谱资料,明确记载:我东平(古称东原)郭氏始祖三德字明政和长支汶上始祖三才占举
       1、郭家桃园1952年族谱
3.jpg
  郭家桃园1952年族谱1
      明确记载:始祖宗源自山西洪洞县城北十八里郭堡村(今有洪洞县甘亭镇郭堡村)人士,自明初家祖
三德、三才由原籍迁居山东省平阴县城北二十五里郭家桃园(今为东阿县牛角店镇郭桃村)


4.jpg
   郭家桃园1952年族谱2
明确记载:(东平郭氏)始祖三德明政和长支汶上始祖三才占举

5.jpg
   郭家桃园1952年族谱3

6.jpg
    郭家桃园1952年族谱4


   2、郭家桃园1963年族谱

郭家桃园1.jpg
  郭家桃园1963年族谱1

郭家桃园2.jpg
  郭家桃园1963年族谱2

郭家桃园3.jpg
   郭家桃园1963年族谱3

郭家桃园4.jpg
    郭家桃园1963年族谱4
明确记载:(东平郭氏)始祖三德明政和长支汶上始祖三才占举

郭家桃园5.jpg
   郭家桃园1963年族谱5

郭家桃园6.jpg
  郭家桃园1963年族谱6
       载明始伯祖考守言字重卿配张氏、守信字光谊配张氏
      讳守言守信东平郭氏四世字辈,是三德失传曾孙。详见:
山东省东阿县郭桃村郭氏族谱考论
http://bbs.guohome.org/forum.php?mod=viewthread&tid=19042&fromuid=13379
(出处: 中华郭氏网)
五、东阿郭家桃园始迁祖东平郭氏三德曾孙

       东阿郭家桃园(今东阿县牛角店镇郭桃村)始迁祖东平郭氏始祖三德曾孙(详见:山东省东阿县郭桃村郭氏族谱考论
http://bbs.guohome.org/forum.php?mod=viewthread&tid=19042&fromuid=13379
(出处: 中华郭氏网)
一文)



六、古代号、字,避名讳

         1、古人有
             古人有名有字有号,与现在人们一个名字的习惯不一样,例如:
      我长支六世祖明资政大夫工部尚书朝宾尚甫黄涯。(见下图1)

      143219j0iw446w00iunx64.jpg
     图1   明资政大夫工部尚书黄涯郭公之墓1
    详见:
        明工部尚书郭朝宾墓晋升山东省文物保护单位揭碑暨祭奠仪式成功举行  

    2、明朝碑文中先祖的号、字,而不刻名讳
       为体现后人对先祖的尊敬 ,明朝碑文中刻先祖的号、字,而避先祖名讳,而不像现在人们直接刻先祖的名讳。
       例如:明工部尚书郭朝宾墓,其墓碑正中间书:明资政大夫工部尚书黄涯郭公之墓,墓碑中的是先祖的黄涯,而没有出现先祖的朝宾(见上图1墓碑)。
   
      3、东平郭氏始祖墓碑
始祖碑2.jpg
   图2   东平郭氏始祖墓碑
【详见:山东东平郭氏始祖家庙墓碑
http://bbs.guohome.org/forum.php?mod=viewthread&tid=108826&fromuid=13379   
(出处: 中华郭氏网)  】
      祖碑上端刻:大明
    碑身中刻:儒士郭四公諱昇配蘇氏之墓
    碑身右側刻:
            “祖墓碑建於明崇禎己巳年,迄今三百餘載因風雨侵蝕字跡不
             清且始袓與二世兩祖墓前已成碑殘碣,族人
             乃以祭田收益鳩工集料於兩代三祖前重建墓碑三座
             族人祭掃之餘悠然動其本源之思非徒壯觀己也。  
                          
     碑身左側刻:中華民國三十八年歲次己梅月上浣穀旦


       东平郭氏始祖墓碑,我东平郭氏族人也会与长支汶上(见上六、1)一样遵循中国古代文化传统习惯碑刻始祖回避名讳(讳三德)。
     4、《东原郭氏族谱》初书于石始祖
   《东原郭氏族谱》由我东平四世祖(三支)讳守德主持“于明朝万历36公元1608)间初书于石,后载于册”(详见上:一、4之 2004年版《东原郭氏族谱》谱序1)。可喜的是时至今日,明朝万历36年(公元1608年)创立的石碑谱仍然完好无损,只是历经四百多年,字迹有些模糊(据说几十年前还清晰可辨)。
    我东平四世祖(三支)讳守德主持《东原郭氏族谱》“初书于石”(明朝万历36年,公元1608)时,按照明朝的传统文化习惯回始祖的名讳三德)根据始祖墓碑(见上图2 东平郭氏始祖墓碑:刻号讳昇,避刻名讳三德)而将始祖的昇刻于石碑上,后载于册.
   
   
    5、郭家桃园郭氏族谱载明始祖三德字明政
      郭家桃园(今郭桃村)族谱载明始祖三德字明政(见上 郭家桃园1952年族谱2、或郭家桃园1963年族谱4,或详见:山东省东阿县郭桃村郭氏族谱考论
http://bbs.guohome.org/forum.php?mod=viewthread&tid=19042&fromuid=13379 ),
并且明确记载汶上始祖三才字占举(同前),这是始祖失传的曾孙讳玉(四世 守字辈 )支(郭家桃园今郭桃村)后裔对始祖的记载。

七、总论
       东平郭氏始祖三德明政昇。
      目前《东原郭氏族谱》十支仅记载了东平郭氏始祖三德的大部分裔孙(详见:
      1、《东原郭氏族谱》(1937年版扫描)(卷一)
           http://www.360doc.com/editphoto2.aspx?articleid=458866109

      2、《东原郭氏族谱》(1937年版)卷二 http://www.360doc.com/content/16/1008/17/2723691_596733529.shtml

      3、《东原郭氏族谱》(1937年版)卷三 http://www.360doc.com/content/16/1015/17/2723691_598653813.shtml

      4、《东原郭氏族谱》(1937年版)卷四 http://www.360doc.com/content/16/1015/20/2723691_598683735.shtml

      5、《东原郭氏族谱》(1937年版)卷五 http://www.360doc.com/content/16/1015/20/2723691_598696383.shtml

      6、《东原郭氏族谱》(1937年版)卷六 http://www.360doc.com/content/16/1016/08/2723691_598781383.shtml

      7、《东原郭氏族谱》(1937年版)卷七 http://www.360doc.com/content/16/1016/11/2723691_598808165.shtml

      8、《东原郭氏族谱》(1937年版)卷八 http://www.360doc.com/content/16/1016/12/2723691_598826420.shtml

      9、《东原郭氏族谱》(1937年版)卷九 http://www.360doc.com/content/16/1016/14/2723691_598842074.shtml未能包含失散的历代裔孙。

     一)始祖失传的裔孙

      1、始祖次子(二世二支)彦荘由本境迁居外县。
        二世二支讳彦荘由本境迁居外县,相距数百余里”,迁居地失传
(详见上1937年版《东原郭氏族谱》2
或《东原郭氏族谱》(1937年版扫描)  http://www.360doc.com/content/15/0329/08/2723691_458866109.shtml   )
      2二世二支三世讳儒京、儒会失传
         二世二支三世长支讳儒京、二支讳儒会两支失传(见上1937年版《东原郭氏族谱》卷一2    或见下谱:2004年版《东原郭氏族谱》10-001 )。

10-001.jpg
     2004年版《东原郭氏族谱》10-001


     3、四世长支讳守礼全部失传
      见一、1、1937年版《东原郭氏族谱》卷一1 :

             或见下  2004年版《东原郭氏族谱》1-001、1-003;
          五世祖讳洪诰支失传,
          六世祖讳三位(子世屏,失传)、三锡三益三让三柱支全部失传
   
1-001.jpg
          2004年版《东原郭氏族谱》1-001

1-003.jpg
    2004年版《东原郭氏族谱》1-003

       4四世讳守言、守信失传
       郭家桃园1963年族谱6(见上)载明始伯祖考守言字重卿配张氏、守信字光谊配张氏
       讳
守言守信东平郭氏四世守字辈,是三德失传曾孙。详见:
山东省东阿县郭桃村郭氏族谱考论
http://bbs.guohome.org/forum.php?mod=viewthread&tid=19042&fromuid=13379   。


       (二)、2004年版《东原郭氏族谱》对始祖三德的记载
        1983年版《东原郭氏族谱》《世系访问记》根据青州老谱作的记载四公三德配苏氏迁居东平城西郭家楼
(见上:、《东原郭氏族谱》2、或《东原郭氏族谱》始祖——世系访问记
http://bbs.guohome.org/forum.php?mod=viewthread&tid=12630&fromuid=13379   )。

青州老谱记载的始祖名讳(讳三德)由2004年版《东原郭氏族谱》记载确认(见上谱《东原郭氏族谱》1-001、《东原郭氏族谱》10-001)。

       (三)、肥城《郭氏族谱序》记载
       一世三支肥城乾隆16年(1751(15世讳方升祖)《郭氏族谱序》的记载:“三德迁居茌平城南郭家庄(详见二、肥城乾隆16年(1751)《郭氏族谱序》2)。

    因我东平郭氏始祖三德次子彦荘迁居地失传及孙子儒京(二世二支讳彦庄之长子儒会(二世二支讳彦庄之次子支和长曾孙守礼(二世长支怀之长孙)支等失传(见上一)始祖失传的裔孙始祖次子彦荘祖或裔孙迁居茌平城南郭家庄,也很正常,肥城谱序记载三德迁居茌平城南郭家庄”)东原郭氏族谱 《世系访问记》的记载四公三德配苏氏迁居东平城西郭家楼并不矛盾反而是寻找始祖失传裔孙的依据《东原郭氏族谱》始祖名讳(讳三德佐证

       东阿郭口《谷城郭氏族谱》记载
    明朝崇祯九年(公元1636《谷城郭氏族谱》序对始祖兄弟五人的记载:三才汶上县三钢长清县,三省平县城南郭家庄三老公高堂县城东五里庄,我始祖三畏北城长清县下保庄”。(见上三、东阿郭口《谷城郭氏族谱》

或详见   谷城郭氏族谱  http://www.360doc.com/content/16/1030/18/2723691_602584762.shtml     )
    明朝崇祯九年(公元1636《谷城郭氏族谱》序是由三畏北城七世孙在天(二世三支讳彦慧祖次子中之玄孙)祖记载,四支始祖记载为三省平县城南郭家庄”,因“”( shěng)与“”(shēng),而 东原郭氏族谱始祖原始记载(见上 、《东原郭氏族谱》  11937年版《东原郭氏族谱》卷一1   或详见《东原郭氏族谱》(1937年版扫描)  http://www.360doc.com/content/15/0329/08/2723691_458866109.shtml   )。
        明朝崇祯九《谷城郭氏族谱》序对始祖兄弟五人的记载除我四支始祖名讳(讳三德与“三省”)有差别外,其它内容与肥城乾隆16年《郭氏族谱序》记载一致,不再赘述。

         综上所述:青州老谱东平郭氏始祖(讳三德兄弟五人名讳记载与肥城乾隆16年(1751)《郭氏族谱序》记载不谋而合,相互佐证,明朝崇祯九(公元1636谷城郭氏族谱》序对始祖兄弟五人名讳记载只有东平(茌平)始祖的记载有一字之别:“”(同音)与“”的差别,并且讳(音同省)是东平四世祖守德主持“于明朝万历36公元1608)间初书于石”时,石上的始祖的后载于册
     郭家桃园郭氏族谱载明始祖三德字明政,是东平郭氏始祖(三德)另一曾孙玉后裔对始祖的记载
     
            综上所论:东平郭氏始祖三德明政昇。






          欢迎提出宝贵意见,予以批评指正。
         欢迎失传的族人联系沟通 :电话15564109938(微信),QQ1758535508   .








来自圈子: 山东郭氏宗亲会
发表于 2017-10-30 07:22:15 | 显示全部楼层
资料很详实,很珍贵,对当今郭氏研究族谱,家谱,续修有一定的指导意义。
回复

使用道具 举报

发表于 2017-11-3 13:02:22 来自手机 | 显示全部楼层
兄长考证严谨,费心了
回复

使用道具 举报

发表于 2017-11-8 10:18:09 来自手机 | 显示全部楼层
山东菏泽成武县汶上镇郭庄是哪里迁移过去知道吗?
回复

使用道具 举报

 楼主| 发表于 2017-11-8 11:45:37 | 显示全部楼层
本帖最后由 理想希望 于 2018-3-8 08:04 编辑


@wx_a4oTogAk
宗亲:
    您好!
    我支和长支汶上都有失传的先祖,请费心看此文,并查看相关网址看看有无线索,或将您知道的信息材料发给我研究一下。
    欢迎您沟通交流。
    联系电话:电话15564109938(微信),QQ1758535508  



     有空请看:
1、山东东平郭氏始祖名讳字号考论
http://bbs.guohome.org/forum.php ... 1&fromuid=13379
(出处: 中华郭氏网)
一文及回复跟帖.
2、山东省东阿县郭桃村郭氏族谱考论
http://bbs.guohome.org/forum.php ... 2&fromuid=13379
(出处: 中华郭氏网)
3、山东汶上郭氏始祖名字考论
http://bbs.guohome.org/forum.php?mod=viewthread&tid=108881&fromuid=13379
(出处: 中华郭氏网)
4、汶上郭氏槚柏分支康庄驿族谱
http://bbs.guohome.org/forum.php?mod=viewthread&tid=14803&fromuid=13379
(出处: 中华郭氏网)
5、郭氏宗亲(汶上、肥城、东平、高唐)行辈对应表
http://bbs.guohome.org/forum.php?mod=viewthread&tid=13138&fromuid=13379
(出处: 中华郭氏网)

http://bbs.guohome.org/forum.php ... 138&from=portal
郭氏宗亲(汶上 肥城 东平 高唐)行辈对应表  
http://www.360doc.com/content/15/0819/10/2723691_493374890.shtml  
6、高唐郭氏始祖碑考论
http://bbs.guohome.org/forum.php ... 8&fromuid=13379
(出处: 中华郭氏网)

  高唐郭氏始祖碑考论
7、山东汶上、长清、肥城、东平、高唐、青州、维坊等地的郭氏为自山西洪洞东迁的同族人
http://bbs.guohome.org/forum.php ... 6&fromuid=13379
(出处: 中华郭氏网)
8、山东汶上“宗礼堂”和山西文水“光裕堂”为同宗源出洪洞县。
http://bbs.guohome.org/forum.php ... 5&fromuid=13379
(出处: 中华郭氏网)
9、中华郭氏网十周年征文:我爱《中华郭氏网》
http://bbs.guohome.org/forum.php ... 3&fromuid=13379
(出处: 中华郭氏网)



回复

使用道具 举报

 楼主| 发表于 2017-11-12 06:23:04 | 显示全部楼层
本帖最后由 理想希望 于 2018-2-1 22:06 编辑

庆远宗亲:
      你好!
      你能提出疑问很好,至少说明你看了,但也说明你没有仔细看,信口开河。
      我们的责任是探求真相、考证真相、还原真相,寻求准确无误的真相。
      我们能做的是搜集家谱史料、综合分析研究已知史料,但没有新的证据不能否认史料。
      对你提的问题谈谈我的看法:
一、青州老谱问题
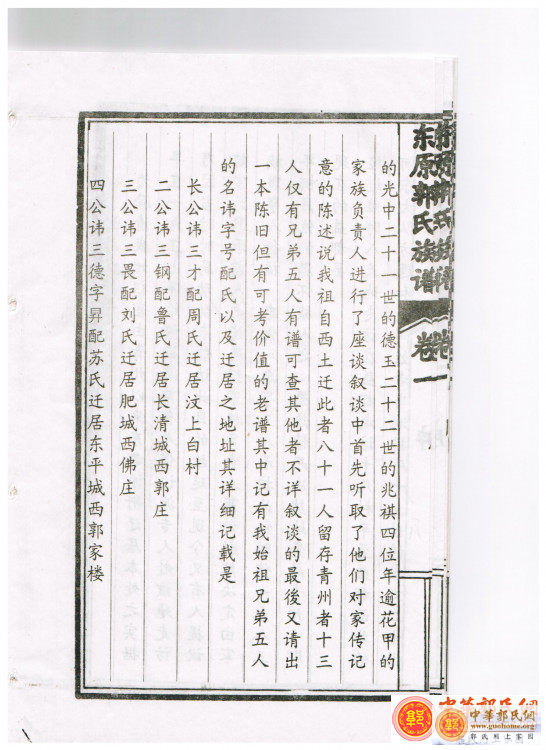
       1983年我族派讳行福(15世)、讳忠化(16世)、讳忠孚(16世)三个老爷爷在青州走访了8天终于在河东大队找到了老人讳世文(当地19世)和光中(20世)、德玉(21世)、兆祺(22世)四位年逾花甲的家族负责人,沟通交流后请出的老谱载有兄弟五人的名讳(详见:《东原郭氏族谱》始祖——世系访问记
http://bbs.guohome.org/forum.php ... 12630&fromuid=13379
(出处: 中华郭氏网) 。      
       由于1983年是改革开放的初期,没有现在的手机、我是84年中专毕业分在省物资局工作,定级后工资只有42元,一般估计没有相机,估计当时不会有照片,仅是摘抄了相关族谱记载。受访的四位青州老人均已仙逝,你有空时可再访青州市南河东村等地寻找原始记载,为家族做点贡献,你不会拒绝我的请求吧?
      请看:
     (1)、青州市南河东村《郭氏族谱》(1958年版)摘录  http://www.360doc.com/content/15/1018/12/2723691_506465225.shtml
     (2)青州市南河东村《郭氏族谱》(1989年版)摘录
http://bbs.guohome.org/forum.php ... 13383&fromuid=13379

      我相信三位老爷爷不会上欺父母祖先、下欺儿孙后辈、再欺全族宗亲,伪造始祖五兄弟的记载,并且还能和肥城族谱完全一致,和东阿郭口仅差一字,这不会是巧合,否则,我东平族人是绝世天才。详见:
      山东东平郭氏始祖名讳字号考论
     http://bbs.guohome.org/forum.php ... 19041&fromuid=13379
     (出处: 中华郭氏网)之一、二。

二、我《东原郭氏族谱》始祖名讳问题
        你能仔细再读
      《山东东平郭氏始祖名讳字号考论
        http://bbs.guohome.org/forum.php ... 19041&fromuid=13379
        (出处: 中华郭氏网)一文吗?
        1983年《东原郭氏族谱》始祖仍然是讳昇,并不是你说的改为讳三德,只是将《世系访问记》(详见
《东原郭氏族谱》始祖——世系访问记
http://bbs.guohome.org/forum.php ... 12630&fromuid=13379
(出处: 中华郭氏网))一文加入了族谱附页材料,供族人研究讨论,20多年来族人研究比对没有异议,《世系访问记》诞生21年后的2004年才正式将始祖的名讳(讳三德)载入《东原郭氏族谱》。
       1983年和2004年不是一年你明白吗?
       请仔细阅读、研究、比对相关史料可以吗?

三、始祖迁移年代问题
  
       1《东原郭氏族谱》载明:成祖富民实北京
        1937年版《东原郭氏族谱》2(见上)  载明:……散居洪洞待至成祖富民实北京……”,写的很清楚:成祖(年号永乐)。
       成祖明成祖朱棣(1360年5月2日-1424年8月12日),大明成祖,汉族,是明朝第三位皇帝,1402年-1424年
位,年号永乐,故后人称其为永乐帝、永乐大帝、永乐皇帝等。
         你没仔细看还是没看懂?

      2四支明永乐年间建郭楼
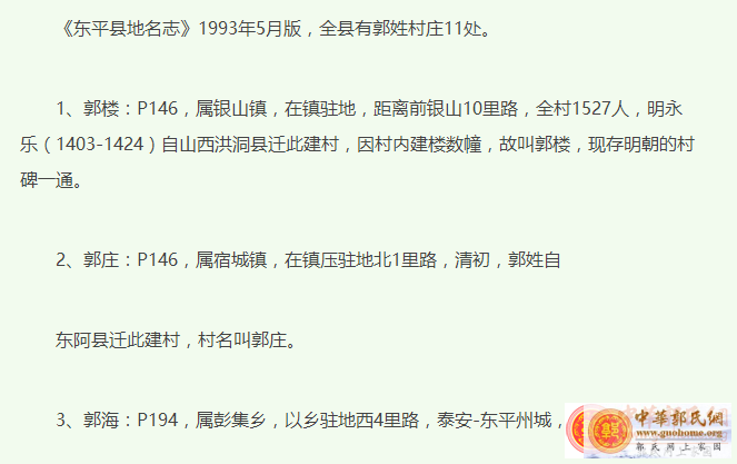
   《东平县地名志》1993年5月版,全县有郭姓村庄11处。
    郭楼:P146,属银山镇,在镇驻地,距离前银山10里路,全村1527人,明永乐1403-1424自山西洪洞县迁此建村,因村内建楼数幢,故叫郭楼,现存明朝的村碑一通。(见下图
    或详见:
    山东省东平县郭氏家族分布情况_郭姓文化_天涯博客_天涯社区  http://blog.tianya.cn/post-4621373-50288707-1.shtml  )


郭楼建村.png
   

    可知始祖明永乐(1403-1424年间迁建郭楼村。

      3长支明永乐年间迁至汶上槚柏村
       由山西郭世科老先生发的山东省汶上县郭氏寻亲一文:汾阳王郭子仪后裔,一支于明永乐年间,由山西太原迁至山东省汶上
(详见:山东省汶上县郭氏寻亲
http://bbs.guohome.org/forum.php ... 14440&fromuid=13379   ),
或见:民国丙子年(1936年)重修《郭氏族谱》
      2723691_201508031618550986.jpg

        山东汶上郭氏始祖三才子智孙三:玉、麟、泉。长孙槚柏,次孙迁居嘉祥,末孙迁居济宁郭家花园,后世子孙繁衍迁徙,部分联系中断,以至失传。末孙(长仁礼、次志安、三义忠)志安又由济宁郭家花园迁居汶上康家驿
详见:汶上郭氏槚柏分支康家驿族谱
http://bbs.guohome.org/forum.php?mod=viewthread&tid=14803&fromuid=13379
(出处: 中华郭氏网)
汶上.jpg


   可见:我四支东平与长支汶上明永乐(1403-1424)年间迁移时间相同,不谋而合,相互佐证。
   你分支肥城乾隆16年(1751)(15世讳方升祖)《郭氏族谱序》1(见上)清楚载明三才迁居汶上白村”,并得到《东原郭氏族谱》《世系访问记》2(见上一、2) 长公三才配周氏迁居汶上白村(今槚柏村)”的佐证, 你应该不会怀疑自己先祖的记载吧?

       4、明永乐(1403-1424)年间兄弟五人分居
       我东平始祖明永乐(1403-1424)年间迁建郭楼村、长支汶上明永乐(1403-1424)年间迁移时间就是兄弟五人分居时间。
     《东原郭氏族谱》嘉庆24年谱序:祖居汾阳宦游青州益都居焉,历传数世,从此复迁,因宦托足,寄居东原(我十一世祖讳尚乾撰,详见《东原郭氏族谱》(1937年版扫描)  http://www.360doc.com/content/15/0329/08/2723691_458866109.shtml
该记载说明:兄弟五人自洪洞东迁青州后历传数世,从此复迁,分居是在青州居住几十年以后才从此复迁
      从青州历传数世,从此复迁,也就是说:兄弟五人在青州分居时已有数世(代)人,并非从洪洞来山东直接分居,如果来山东直接分居兄弟五人必须都是成年人,在青州历传数世,从此复迁,难言兄弟五人都是成年人,不能否定年小的弟弟跟着哥哥迁徙青州历传数世,从此复迁

       我族自山西洪洞东迁者82人未必都是成年人,年小的弟弟跟着哥哥迁徙也很正常(见下5(2))。

      5、我族自山西洪洞东迁者82人未必都是成年人
     (1)、  1937年版《东原郭氏族谱》 载明:我族自山西洪洞东迁者82人,其里居难以尽数,由青州分居者兄弟五人犹可胜道:长居汶上、次居肥城、三居长清、五居茌平延至高唐,我祖讳昇行四分居东平城西郭家楼庄。
详见:后

山东汶上、长清、肥城、东平、高唐、青州、维坊等地的郭氏为自山西洪洞东迁的同族人
http://bbs.guohome.org/forum.php ... 13406&fromuid=13379
(出处: 中华郭氏网)

      (2)、  我族自山西洪洞东迁者82人未必都是成年人。
       不能否认随迁的婴儿也是一人,统计迁徙人数时年龄大小都是一人,就算乳儿也是一人,不能把乳儿不当人。年幼的弟弟跟着哥哥迁徙也很正常。

       6、洪洞东迁时兄弟五人未必都是成年人
       从青州历传数世,从此复迁,也就是说:兄弟五人在青州分居时已有数世(代)人,并非从洪洞来山东直接分居,如果来山东直接分居兄弟五人必须都是成年人,在青州历传数世,从此复迁,则兄弟五人未必都是成年人。

四、四地五处一致记载我族东迁者82人
       我族自山西洪洞东迁者82人┅┅ 的记载得到四地(东平、东阿郭口、肥城、青州南河东村)五处(东平、东阿郭口崇祯九年、光绪22年、肥城乾隆16年谱序、青州南河东村谱序)史料相互佐证

       1、1937年版《东原郭氏族谱》
       载明:我族自山西洪洞东迁者82人,其里居难以尽数,由青州分居者兄弟五人犹可胜道:长居汶上、次居肥城、三居长清、五居茌平延至高唐,我祖讳昇行四分居东平城西郭家楼庄。
详见:山东汶上、长清、肥城、东平、高唐、青州、维坊等地的郭氏为自山西洪洞东迁的同族人
http://bbs.guohome.org/forum.php ... 13406&fromuid=13379
(出处: 中华郭氏网)

       2、东阿郭口《谷城郭氏族谱》
      (1)、 东阿郭口七世祖讳在天(二世三支讳彦慧祖次子中之玄孙)祖于崇祯九年即1636年记载:东迁者82人(《详见谷城郭氏族谱 》     http://www.360doc.com/content/16/1030/18/2723691_602584762.shtml  );
      (2)、东阿郭口光绪22年谱序
             东阿郭口光绪22年谱序记载:我郭氏奉旨东迁者82人
(详见:《谷城郭氏族谱 》 http://www.360doc.com/content/16/1030/18/2723691_602584762.shtml )。

       3、肥城乾隆16年谱序
           肥城乾隆16年谱序也载明:郭氏迁山东者82人多不可考”(见上肥城乾隆16年(1751)《郭氏族谱序》1 )。

       4、青州南河东村《郭氏族谱》
        青州市南河东村《郭氏族谱》(1989年版)族谱也载明:吾族迁山左各地定居者为82人(详见:
青州市南河东村《郭氏族谱》(1989年版)摘录
http://bbs.guohome.org/forum.php ... 13383&fromuid=13379
       或
       青州市南河东村《郭氏族谱》(1989年版)摘录  http://www.360doc.com/content/15/1018/15/2723691_506504435.shtml  )。

       我族东迁者82人四地(东平、东阿郭口、肥城、青州南河东村)五处(东平、东阿郭口崇祯九年、光绪22年、肥城乾隆16年谱序、青州南河东村谱序)不约而同的史料记载,你有异议吗?
       你不会怀疑已经四地五处相互验证且不谋而合的《东原郭氏族谱》序我族东迁者82人的记载吧?
       我东原郭氏族谱关于我族自山西洪洞东迁者82人的记载为什么能与其他三地(东阿郭口、肥城、青州南河东村)四处(东阿郭口崇祯九年、光绪22年、肥城乾隆16年谱序、青州南河东村谱序)记载不约而同
       难道东平郭氏先祖能够穿越时空先知先觉、具有超凡的能力未卜先知猜到或看到数百里外人家的族谱记载?
       你思考过其中原因吗?

五、1937年《东原郭氏族谱》序问题
       我《东原郭氏族谱》除失传的族人外1937年实现了统谱,此前各有分谱,像肥城和东阿郭口一样各有族谱和行辈,1937年实现了族谱大统一,并统一了行辈,比讳三畏祖后人至少早了80周年,听说至今郭口和肥城也没有完成讳彦慧祖支内统谱,你应该知道吧?族人希望郭口和肥城支内统谱。
       1937年《东原郭氏族谱》序是已知全族统一后的第一个谱序,我芦泉屯分支就是这次统谱才纳进去的,但丝毫不影响我分支是长支(四世长支讳守礼祖全部失传,继列长支)的位置,东平郭氏20世字辈男士我大哥排第一、二哥排第二,我自然排第三,年龄再大在族谱上也是按支往后排,你说对吗?
       1937年《东原郭氏族谱》序是我东平郭氏族谱序,是写给东平郭氏族人看的,不是肥城谱序是写给肥城族人看的。我不提供《东原郭氏族谱》序扫描件你能看到吗?你有原件吗?
       我先祖没有想到过让你看,你能错怪古人吗?

六、年龄差距问题
        1  、古代婚姻家庭制度
       古代并不是自由恋爱,而是靠父母之命,媒妁之言,也没有一夫一妻的婚姻登记制度,有妻有妾,更没有计划生育。男女大约15岁左右就拜天地成婚,有的15岁就当了爸爸,有的小儿子(或小女儿)比自己的孙子(女)或外孙子(女)还要小十来岁。
       别说古代,就说现在,我贾姓同学(现在济南可随时约见考证)比同母同父的大姐的长女、次女、长子还小,与大姐的第四个孩子相近,也就是说:三代差一代多,四代能差2代。
       我母亲和我姨妈都比我三老爷大,我大哥、姐姐都比我三老爷家的大姨大,我是老四与大哥差15岁,比三老爷家的三姨大,更不用说四姨、五姨了,我大哥比我三老爷家的五姨大了近30岁,在没有计划生育的过去又可差一代人。
       同父同母兄弟年龄相差30多岁很正常,四世同堂也很平常,不是个别案例,同父不同母的兄弟年龄相差更大,我族有五世同堂的记载(见下), 达官贵人差距更大,如军阀杨森86岁还生女儿(详见:大军阀杨森与他的十二妻妾(图)_资讯_凤凰网  http://news.ifeng.com/history/1/ ... 2663_382405_5.shtml   ),末女和长子女估计能差六、七十岁。

      2、古代四世同堂较常见
       老舍先生有《四世同堂》的作品,我《东原郭氏族谱》有五世同堂的记载:
       十五世  士傑字超万,乡饮介宾,恭颂:年高德邵,配闫村兴九赵公之女,生一子继和;继配本庄兆殿王公之女,恭颂:五世同堂,生子继康(出嗣),二女:长适五里庄永殿张公,次适四里庄义纲王公,详见(
     《东原郭氏族谱》(1937年版扫描)  http://www.360doc.com/content/15/0329/08/2723691_458866109.shtml 第93页)。

       3、我《东原郭氏族谱》四世长支讳守礼支全部失传、二世二支三世长支讳儒京、二支讳儒会支失传(详见:山东东平郭氏始祖名讳字号考论
http://bbs.guohome.org/forum.php ... 19041&fromuid=13379
(出处: 中华郭氏网) (一)始祖失传的裔孙   )。

       4、隔支宗亲五代、六代相差几代很正常。
       同一支内三代能差1代多,四代能差2代(见上1)。
       始祖兄弟五人按同父同母计算:东平始祖行四,与大哥、二哥相差十几岁很正常,甚至比大哥、二哥的儿子都小也很正常(见上1、同父同母兄弟年龄相差30多岁很正常)。
       同样的道理:四世讳守德祖是三世二支讳儒登祖的三子,比亲大哥小十几岁很正常,比其大伯家的哥哥小一代也很正常。
       我始祖行四可能比长兄、次兄年龄小一代,加上四世讳守德祖在我东平支内年龄小一代,即使四世讳守德比支外汶上、肥城同辈年龄小二代或以上也很正常。
        隔支宗亲五代、六代相差几代很正常。

       3、肥城三世祖讳舟与东平四世祖讳守德的年龄差距问题
       因分支内都有年龄差距何况分支外呢?
       同父兄妹都有相差60-70岁的,何况支外伯侄呢?
       年龄差距不算问题。

七、名讳犯上问题
       我四世祖讳守德(三世二支之三支)主持《东原郭氏族谱》初书于石(明朝万历36年,公元1608年)时,按照明朝的传统文化习惯回避始祖的名讳(讳三德)或根据始祖墓碑(刻号昇,避刻名讳三德)而将始祖的号昇刻于石碑上,后载于册.”(见2004年版《东原郭氏族谱》谱序1),可喜的是时至今日,明朝万历36年(公元1608年)创立的石碑谱仍然完好无损,只是历经四百多年,字迹有些模糊(据说几十年前还清晰可辨)。
       请看族谱简介:

     (一 )、三世长支:儒进配魏氏生一子守礼,后失传。
            真正的四世长支讳守礼支失传,于是《东原郭氏族谱》暂时将
            四世二支列为长支。

      (二)、三世二支:儒登
            儒登字惟一配刘氏,继配戈氏生四子:长守仁、次守义、三守德、四守志。
            (1983年版一、二、三、四支)
           1、将三世二支之长支讳守仁支列为族谱长支;
           2、将三世二支之二支讳守义支 列为族谱二支;
           3、将三世二支之三支讳守德支 列为族谱三支;
           4、将三世二支之四支讳守志支列为族谱四支。

       四世讳守德(三世二支之三支)在始祖曾孙中不是大的 (见上:亲兄弟行三,更不要说大伯家的哥哥了),不论知道与不知道始祖名讳,
初书于石”时刻始祖
墓碑.jpg
    东平郭氏始祖墓碑
       东晋时期著名书法家,有书圣之称的王羲之其子王献之,王羲之历任秘书郞、宁远将军、江州刺史,后为会稽内史,领右将军。
       王羲之的儿子叫王献之,而献之不是羲之,你能说献之羲之重名吗?王羲之可不是没有文化的无名小卒,是三品官员和书圣,你能说人家不懂宗法制度吗?
       著名豫剧表演艺术家常香玉孙女小香玉,你能说常香玉小香玉重名吗?

       始祖名讳(讳三德)与四世祖讳守德羲之献之不是一样的道理吗?
       始祖名讳三德,不是名讳
       我四世祖讳守德,也不是名讳
       始祖三德曾孙分别是守礼、仁、义、德、志、智、信、道、富、贵(谱列分支)言、……你不理解先祖名讳用字的含义吗?
       已全部失传的我长支六世祖出现字辈的问题,因6世祖不知始祖名讳(讳三德),俗话说不知者不怪罪,今人岂能苛求已经全部失传的古人!
       你不会不明白这个道理吧?

八、始祖配偶姓氏问题
       始祖配偶姓氏问题也不是大问题:
      1、青州老谱说:四公讳三德字(明政)(号)昇配苏氏迁居东平城西郭家楼(今东平湖西,银山镇郭家楼)(详见:《东原郭氏族谱》始祖——世系访问记
http://bbs.guohome.org/forum.php ... 12630&fromuid=13379

山东东平郭氏始祖名讳字号考论
http://bbs.guohome.org/forum.php ... 19041&fromuid=13379
(括号内文字根据相关史料添加,供研究考证)。

      2、郭家桃园族谱载明:始祖讳三德字明政配刘氏。详见:
       山东省东阿县郭桃村郭氏族谱考论
      http://bbs.guohome.org/forum.php ... 19042&fromuid=13379
       现在才有一夫一妻制的法律规定,古代不一定一夫一妻,可以一夫多妻 ,不论青州还是郭家桃园都只记载能说清楚的始祖配偶姓氏,忽略不计记不清楚的始祖配偶不很正常吗?宁缺勿滥的道理你不会不懂吧?
      1949年前一夫二妻的不稀罕,你即使没见过也会听说过吧?

       始祖有原配,也可以再配或继配。

       因战乱等灾害郭家桃园族谱曾经被火烧毁(详见:郭桃村郭氏族谱考论 http://bbs.guohome.org/forum.php ... 19042&fromuid=13379 一文),族人凭记忆书写谱序,你能保证没有一字之差吗?
       所以始祖配偶姓氏问题有点差异也很正常,你发的信息就有多处错误,你自己再看看发到群里的信息,有错误吗?请你仔细看看哪里写的1983年改写始祖名讳,你怎么能伪造我族改写始祖名讳的时间呢?
       你仔细研究过这篇文章吗?
      (上文:山东东平郭氏始祖名讳字号考论
       http://bbs.guohome.org/forum.php?mod=viewthread&tid=19041&fromuid=13379  )

九、我们的关系问题
        我2015年7月26日上午参加完长支汶上六世祖讳朝宾墓晋升山东省重点文保单位仪式(详见
    1、《明工部尚书郭朝宾墓晋升山东省重点文保单位仪式成功举办》
http://bbs.guohome.org/forum.php?mod=viewthread&tid=13076&fromuid=13379
(出处: 中华郭氏网)  )
       或
    2、明工部尚书郭朝宾墓晋升山东省文物保护单位揭碑暨祭奠仪式成功举行  
http://www.360doc.com/content/15/0808/16/2723691_490331445.shtml     )
后,下午经过肥城,预计4:30前到达肥城市政府招待所,结果道路修路不好走,让嗣山、嗣东两位族侄等了1个多小时,并由族侄嗣东设宴与族侄嗣山、嗣云、族孙庆笃、庆庚等肥城族谱编修人或在市区工作生活的族亲一起热情款待了我和堂弟传山及小侄,我会永远记住一家人的情义。
     

    我东平郭氏始祖三德)曾经失传的曾孙讳玉后裔已于1952年和广里(讳彦礼祖支)统谱,也就是广里(讳彦礼祖支)统谱对我始祖曾经失传的曾孙讳玉祖支的确认详见郭家桃园族孙庆军提供的谱序(上四、东阿郭家桃园郭氏族谱
山东省东阿县郭桃村郭氏族谱考论
http://bbs.guohome.org/forum.php?mod=viewthread&tid=19042&fromuid=13379
(出处: 中华郭氏网) ,你不会否认二世长支广里(讳彦礼祖支)的族谱吧?


       你和肥城虽有断续但使用其行辈22世)字辈,就和郭家桃园族孙庆军(使用广里、佛庄行辈:22世”字辈)一样的“22世)字辈,我们的关系应该清楚了吧!

       没有调查研究就没有发言权, 欢迎你用事实和史料说话;
       事实胜于雄辩, 理不怕辩,理越辩越明,欢迎你跟帖辩驳。
   



回复

使用道具 举报

 楼主| 发表于 2017-12-20 21:37:10 | 显示全部楼层
本帖最后由 理想希望 于 2017-12-22 12:58 编辑

请看:
山东东平郭氏始祖墓碑家庙
http://bbs.guohome.org/forum.php?mod=viewthread&tid=108826&fromuid=13379
(出处: 中华郭氏网)



回复

使用道具 举报

您需要登录后才可以回帖 登录 | 注册

本版积分规则

QQ|关于我们|地图|手机版|发展基金|公安部备案号:34022202000084|郭氏网(始建于2006年)版权所有 ( 皖ICP备13000936号-3 )

GMT+8, 2026-3-18 03:23 , Processed in 0.042342 second(s), 21 queries , Gzip On.

Powered by Discuz! X3.5

© 2001-2025 Discuz! Team.

快速回复 返回顶部 返回列表