找回密码
 注册
查看: 7769|回复: 6

江苏盐城郭氏家谱

[复制链接]
发表于 2016-9-22 12:46:18 来自手机 | 显示全部楼层 |阅读模式
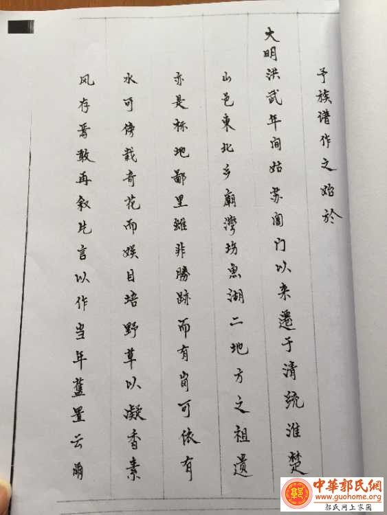
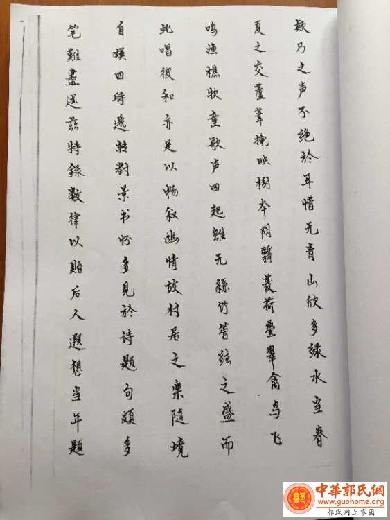
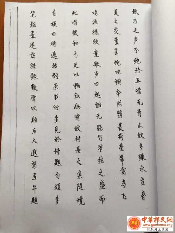
1816年修谱记载

39129

39129

39130

39130

39131

39131

39132

39132

39133

39133
 楼主| 发表于 2016-9-22 12:49:40 来自手机 | 显示全部楼层

江苏盐城郭氏家谱

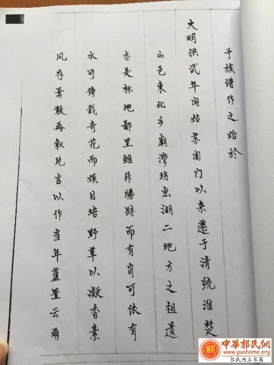
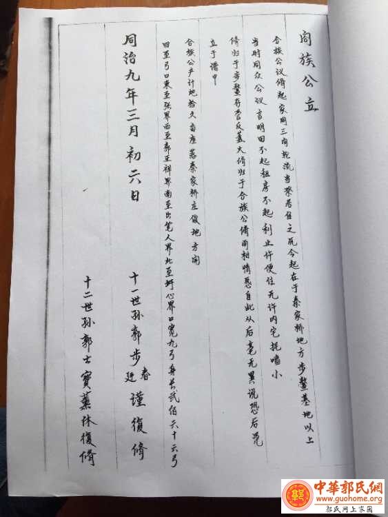
于1870年修谱

39134

39134

39135

39135

39136

39136

39137

39137

39138

39138

39139

39139

39140

39140

39141

39141
回复

使用道具 举报

 楼主| 发表于 2016-9-22 13:02:12 来自手机 | 显示全部楼层

江苏盐城郭氏家谱

电话13092657977

39148

39148

39149

39149

39150

39150

39151

39151

39152

39152

39153

39153

39154

39154

39155

39155
回复

使用道具 举报

 楼主| 发表于 2016-9-22 13:08:02 来自手机 | 显示全部楼层

江苏盐城郭氏宗谱

苏州阊门到盐城

39156

39156

39157

39157

39158

39158

39159

39159

39160

39160

39161

39161

39162

39162

39163

39163
回复

使用道具 举报

发表于 2016-9-22 19:29:00 | 显示全部楼层
好资料!!!还是第一次看到  “世袭堂”这个堂号!!
我也是太原郭氏!!!同根共源!!!
回复

使用道具 举报

发表于 2020-7-10 06:33:25 | 显示全部楼层
拜读.学习了
回复

使用道具 举报

您需要登录后才可以回帖 登录 | 注册

本版积分规则

QQ|关于我们|地图|手机版|发展基金|公安部备案号:34022202000084|郭氏网(始建于2006年)版权所有 ( 皖ICP备13000936号-3 )

GMT+8, 2026-3-18 01:41 , Processed in 0.029124 second(s), 21 queries , Gzip On.

Powered by Discuz! X3.5

© 2001-2025 Discuz! Team.

快速回复 返回顶部 返回列表