找回密码
 注册
查看: 4150|回复: 1

砀山郭氏家谱宗亲

[复制链接]
发表于 2016-8-26 13:24:06 | 显示全部楼层 |阅读模式
本帖最后由 guodengfeng 于 2016-8-27 19:37 编辑

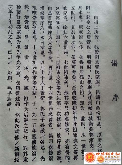
砀山郭氏家族宗亲!


堂号是汾阳世家


13世开始;克念作圣,永言孝思(亲明文思),德昌继世,荣光耀祖,顶立广博,高朝怀玉,本存全兴,瑞祥宽远!
1.jpg 2.jpg 3.jpg 4.jpg 5.jpg 6.jpg 7.jpg






发表于 2016-9-21 09:15:02 来自手机 | 显示全部楼层
宗亲好!欢迎来到郭氏网上家园!
回复

使用道具 举报

您需要登录后才可以回帖 登录 | 注册

本版积分规则

QQ|关于我们|地图|手机版|发展基金|公安部备案号:34022202000084|郭氏网(始建于2006年)版权所有 ( 皖ICP备13000936号-3 )

GMT+8, 2026-3-18 06:35 , Processed in 0.026336 second(s), 22 queries , Gzip On.

Powered by Discuz! X3.5

© 2001-2025 Discuz! Team.

快速回复 返回顶部 返回列表