找回密码
 注册
楼主: 赣南郭

御史中丞瞿公的生卒年份应如何认定?

[复制链接]
发表于 2016-5-15 01:59:25 | 显示全部楼层
现在史料不全,光是推测是没有结果的
回复

使用道具 举报

发表于 2016-5-18 00:11:13 | 显示全部楼层
郭泳 发表于 2016-5-17 20:42
史料不全?我看史料很齐全。瞿公作为郭暧驸马爷的后裔,这点不容置疑。族谱家世的记载晚唐、宋代就 ...

文献学上说,现在关于瞿公先世的两篇宋代谱序,是存在较大疑问的,因为现在宋谱早已不存,现在存世的谱序中出现五代十国政权不称“伪”情况,本身就是重大疏漏。何况宋代官吏一般更是会对前朝之事讳莫如深,哪有大张旗鼓说其在前朝为官的历史呢?目前也无法找到这两篇文献的历史出处,很可能又是“半壁宫花歌筵罢”这样托古之作。实际上关于南方十国的史料,一直就是很缺乏,目前也无法确认瞿公、延嵩公等人的生平,整个时间脉络存在较大的问题。如果不出现新的可靠文献,这一段空白就没法弥补。我认为感情、凝聚力这些是一回事,文献研究是另一回事。昭穆的精神,就是要求我们弄清大小宗的大问题,何况还出现了郭仲恭墓志铭这样的重要文献,使之前流传的瞿公家世出现大疑问。
我建议是要重新审视陈循的两篇族谱序中出现的“郭延禧”的,如果他就是牛龙堂碑记的主人,那么唐五代的家世可能有阙代,值得后人中有识之士皓首穷经式的探寻。

回复

使用道具 举报

 楼主| 发表于 2016-5-18 00:34:12 | 显示全部楼层
      如何认定?
      史书?墓志铭?别姓族谱?本姓族谱?口口相传?
      难!
回复

使用道具 举报

发表于 2016-5-19 07:17:51 | 显示全部楼层
本帖最后由 台灣郭謙賢 于 2016-5-19 07:21 编辑
郭翔鹤 发表于 2016-5-18 00:11
文献学上说,现在关于瞿公先世的两篇宋代谱序,是存在较大疑问的,因为现在宋谱早已不存,现在存世的谱序 ...

看了楼上翔鹤与郭泳宗亲的发言。郭泳说得很好!
翔鹤兄的看法,简单的说就是推己及人,自己祖宗搞错了世系,就推测瞿公后裔也搞错了世系。
但是此是此,彼是彼。翔鹤兄不应该妄加猜测,更不应该为了一个不称情况,就否定族谱记载。
民间之所以不同于官方,就是民间可以不理睬官方的烂规矩,试问哪个人敢在族谱上写自己的先人在政权下当官。翔鹤兄您在自己的族谱上写看看,我保证第一个发飙的就是您自己

点评

两位宗长,我并不是“借鉴”麻岗系的事例来证明贵系的事情,从逻辑关系上讲,疑问的产生是因为仲恭夫妇墓志铭的出土而生,金石是铁一般的证据,是古人在借此说话,上面如无瞿公,任何过继、遗腹子之类的说法都是一种  详情 回复 发表于 2016-5-19 17:04
回复

使用道具 举报

发表于 2016-5-19 17:04:17 | 显示全部楼层
台灣郭謙賢 发表于 2016-5-19 07:17
看了楼上翔鹤与郭泳宗亲的发言。郭泳说得很好!翔鹤兄的看法,简单的说就是“推己及人”,自己祖宗搞错了 ...

两位宗长,我并不是“借鉴”麻岗系的事例来证明贵系的事情,从逻辑关系上讲,疑问的产生是因为仲恭夫妇墓志铭的出土而生,金石是铁一般的证据,是古人在借此说话,上面如无瞿公,任何过继、遗腹子之类的说法都是一种没有依据的推测而已。我和郭青宗长所提出的漏记代数,也是一种没有依据推论而已。瞿公房唐五代的时间线现在确实存在比较大的疏漏,这有待于后人以科学和认真的态度坚持不懈地进行研究,将来一定会取得突破性进展。我们总不能对这样大的疑问视而不见,任期千百代就这么存疑下去吧?所以,如果非要带着”家谱所说不可能有错“这样的情绪来探讨学术问题,估计这个问题也永远无解了。连《新唐书》都出现过错误,何况千百年后的后人在民间编修的家谱呢?只有正本清源,才能让天下人信服,我与诸君一起努力吧!
再带一句,湖南开元博物馆的”枢密第“匾额,我们正在设法获取原始图片,看看其题款中会不会有什么线索。

回复

使用道具 举报

发表于 2016-5-19 22:16:37 | 显示全部楼层
郭翔鹤 发表于 2016-5-19 17:04
两位宗长,我并不是“借鉴”麻岗系的事例来证明贵系的事情,从逻辑关系上讲,疑问的产生是因为仲恭夫妇墓 ...

目前的情况是瞿公的世系,
在族谱中有所记载,且对于新出土的金石内容(仲恭与金堂公主墓志)依然解释的通
在这个情况之下,其他的推测都不如族谱之记载合理,吾等又何须自寻烦恼。
本人从未坚持 ()谱所载不可能有错
但是,本人相信族()谱所记载的内容是正确的,除非有新的事证发表。
.
否则请尊重我们()谱的正确性,不要随意猜测、随意质疑。

点评

要说新事证,就是陈循的两篇族谱序,和880年勒碑的《牛龙堂》记了。郭延禧是谁,是否郭延升之误。黄巢破长安这一年在宋州做馆驿巡官的这位本家古人,是否就是陈循笔下的郭延禧。族谱中的南京,是否宋时的南京也即宋  详情 回复 发表于 2016-5-20 02:27
回复

使用道具 举报

发表于 2016-5-20 02:27:19 | 显示全部楼层
台灣郭謙賢 发表于 2016-5-19 22:16
目前的情况是瞿公的世系,“在族谱中有所记载,且对于新出土的金石内容(仲恭与金堂公主墓志)依然解释的通 ...

要说新事证,就是陈循的两篇族谱序,和880年勒碑的《牛龙堂记》了。郭延禧是谁,是否郭延升之误。黄巢破长安这一年在宋州做馆驿巡官的这位本家古人,是否就是陈循笔下的郭延禧。族谱中的南京,是否宋时的南京也即宋州之误。瞿公家族在黄巢之乱前后到宋灭南唐这近百年时间里究竟是怎样的经历。新的文献记录给我们抛出了诸多谜题,有待有心人解答。
这两篇文献也是最近因为作为同宗的我通宵在学术数据库中挖掘出来的,我认为宗长们要认真对待此事。如觉得公开讨论不宜,我也愿意和宗长们在小范围内进一步探究。如此做也是因几位宗长的学养风范,以及我华夏的昭穆制度的原始精神,三门峡虢国墓地,左昭右穆的墓葬形成了一个倒三角形,这个父系大小宗体系护佑着我们家族延续到今天,我这么孜孜以求对家族历史进行研究,是祖先的这种精神在召唤。当然如瞿公房不欢迎继续对历史问题进行研究,那我也就不越俎代庖了吧:)
回复

使用道具 举报

发表于 2016-5-20 03:37:27 | 显示全部楼层
我再提出对汪泽志、虞允文谱序的一些相关史料,向老仙宗长讨教:
汪泽志《中丞公行实》作于南宋淳祐十一年,也即1251年。此文中出现了虔州、虔化县等字样。但是此时虔州已改名赣州约一个世纪了。据史料记载,1153年(绍兴二十三年),校书郎董德元以“虔”字为虎头,虔州号“虎头城”,非佳名,奏请改名,诏改虔州为赣州(取章、贡二水合流之义,且保留虔字的底部“文”,故称为赣)。同时,改虔化县为宁都县。
文中出现“郴州桂阳县”,但是881年前后只有桂阳监,无桂阳县。后来先后出现桂阳路、桂阳军、桂阳府等称谓,就是没有桂阳县。明洪武九年(1376),桂阳府降为桂阳县,这一称谓才正式出现在中国历史舞台上。那么汪丞相又是如何在100多年前就写下“桂阳县”这一称谓呢。在整个唐代,郴州与桂阳郡的名称多次对换,但都是同一行政单位,而非隶属关系。后晋天福元年(936),桂阳监领临武县,隶楚国长沙府,自此郴桂分治,郴州和桂阳在长达一千年的时间里都不在一个体系里,因此此文成文时间相当晚近。
该谱序出现“硕人”命妇等级,按宋代政和二年定命妇的等级由下而上的排列是:孺人、安人、宜人、恭人、令人、硕人、淑人、夫人。唐五代无此制,也无“硕人”称号。
回复

使用道具 举报

 楼主| 发表于 2016-5-22 00:35:29 | 显示全部楼层
几位宗亲都旁征博引,思路开阔,令人敬仰!
回复

使用道具 举报

发表于 2016-5-22 17:28:26 | 显示全部楼层
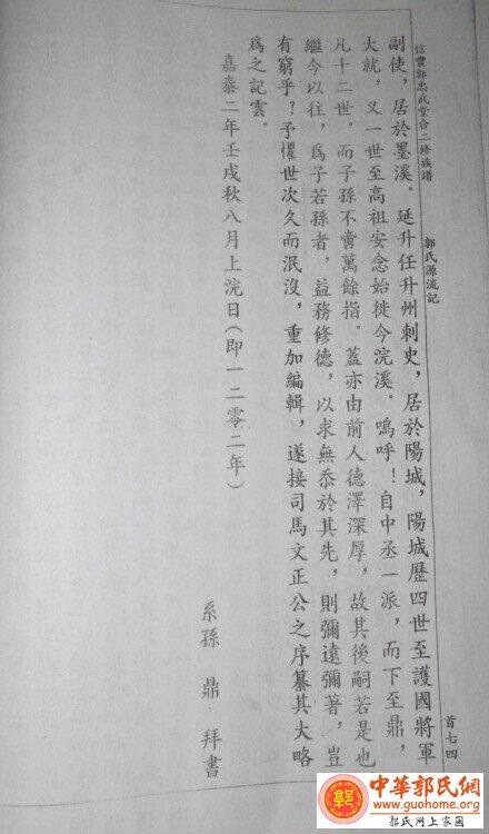
其实大家不要忽略延升公一派的,宋枢密使郭鼎在浣溪谱撰写郭氏源流记,郭子章评价井井有纶。
忠武堂1.jpg
忠武堂2.jpg
回复

使用道具 举报

发表于 2016-5-22 18:41:46 来自手机 | 显示全部楼层
这个郭鼎写的郭氏源流记,来源于司马文正,即司马光为我延升一脉写的一篇谱序的大略
回复

使用道具 举报

发表于 2016-5-22 18:41:46 来自手机 | 显示全部楼层
这个郭鼎写的郭氏源流记,来源于司马文正,即司马光为我延升一脉写的一篇谱序的大略
回复

使用道具 举报

发表于 2016-5-23 06:55:11 来自手机 | 显示全部楼层
本帖最后由 郭恢荣 于 2016-5-23 09:02 编辑

对于延昇公,我阳城一派有详细记载,连夫人配钱氏都不漏,不要牵强附会,延禧另有其人,对于郭氏源流,请参考枢密使郭鼎于公元1202年所写郭氏源流记,为浣溪族谱一谱序之序文,又来源阳城司马文正公所写谱序!
回复

使用道具 举报

发表于 2016-5-23 06:55:11 来自手机 | 显示全部楼层
本帖最后由 郭恢荣 于 2016-5-23 09:02 编辑

对于延昇公,我阳城一派有详细记载,连夫人配钱氏都不漏,不要牵强附会,延禧另有其人,对于郭氏源流,请参考枢密使郭鼎于公元1202年所写郭氏源流记,为浣溪族谱一谱序之序文,又来源阳城司马文正公所写谱序!

点评

子章公谱序比陈循晚一个世纪,对于瞿公南迁经过,也是说的比较模糊,更没有提到其四子详细情况呀  详情 回复 发表于 2016-5-23 18:14
回复

使用道具 举报

发表于 2016-5-23 18:14:46 | 显示全部楼层
郭恢荣 发表于 2016-5-23 06:55
对于延昇公,我阳城一派有详细记载,连夫人配钱氏都不漏,不要牵强附会,延禧另有其人,对于郭氏源流,请参 ...

子章公谱序比陈循晚一个世纪,对于瞿公南迁经过,也是说的比较模糊,更没有提到其四子详细情况呀

点评

子章公的谱序确实晚点,但上面对浣溪谱的历史有详细记载,关键是保留了始修谱,写于宋嘉泰壬戌,即1202年的枢密公鼎自撰源流记。我已经发出来了,目前我没发现郭瞿这一支更早的记录。  发表于 2016-5-23 18:55
回复

使用道具 举报

发表于 2016-5-24 01:31:38 | 显示全部楼层
本帖最后由 郭翔鹤 于 2016-5-24 01:33 编辑

此份郭鼎公的谱序,基本又是明代中期以后相互传抄,谱匠所为。五代地方地名官制变化频繁,托作在这方面最容易出问题,看看这篇谱序中与史实不符的部分:
1.文中出现“郴州桂阳县”,但是881年前后只有桂阳监,无桂阳县。后来先后出现桂阳路、桂阳军、桂阳府等称谓,就是没有桂阳县。明洪武九年(1376),桂阳府降为桂阳县,这一称谓才正式出现在中国历史舞台上。那么郭鼎(另一份所谓宋代墓志铭中汪泽志丞相也写下了一模一样的文字)又是如何在100多年前就写下“桂阳县”这一称谓呢。在整个唐代,郴州与桂阳郡的名称多次对换,但都是同一行政单位,而非隶属关系。后晋天福元年(936),桂阳监领临武县,隶楚国长沙府,自此郴桂分治,郴州和桂阳在长达一千年的时间里都不在一个体系里,因此此文成文时间相当晚近。
2、延勃官职“都护军节度使”,恕我孤陋寡闻,这个官职查遍五代史料也未见过,如史料真是宋作,姑且认为是抄写残缺。有一种可能是“西(东)都护军”,因唐五代禁军有护军中尉等职。但后面这个“节度使”无法理解,杨氏本身就是节度使出身,后封吴王,试问谁又敢再在杨吴做节度使?杨吴就没有给臣下设过节度使官衔。
总之,明清家谱谱序“谀墓”之风流行,现在我们已经活在辩证法的时代,如果真是对历史负责,就要慎之又慎地面对史料。
回复

使用道具 举报

发表于 2016-5-24 22:05:18 | 显示全部楼层
-- 仲恭-瞿?
-- 瞿-延禧?
-- 瞿: 吴,南唐?

貌似  瞿-延禧 这个最引人关注?如果符竹系家谱正确, 这个 延禧公 应该很有说到,非嫡生?
现在的困境是: 符竹系家谱 vs 新史料。 凸显, 非 符竹系家谱的重要性。

难道整个江南 就没有 延勃后代及家谱存世?

据传说, 延勃公的墓 距 瞿公墓 不到百米, 至今还在。按理, 那个村子应该有延勃公后裔。
回复

使用道具 举报

发表于 2016-5-25 00:18:49 | 显示全部楼层
不知道是不是我古文理解有误: 郭鼎公的郭氏源流记是转述司马光谱序的内容?
司马光的谱序还刊载于现时家谱里面吗?或郭鼎公也只是看到残本, 才要转述?
回复

使用道具 举报

 楼主| 发表于 2016-5-25 15:07:55 | 显示全部楼层
      如果瞿公是继子,那他从何处过继而来?
      如果瞿公是继子,原来有无约定,瞿公的长子延勃仍继承原祖上香火,并已改名。?
回复

使用道具 举报

 楼主| 发表于 2016-5-26 22:45:37 | 显示全部楼层
在现有资料公布之前,先界定一下瞿公的生卒年范围也是一个办法。
回复

使用道具 举报

您需要登录后才可以回帖 登录 | 注册

本版积分规则

QQ|关于我们|地图|手机版|发展基金|公安部备案号:34022202000084|郭氏网(始建于2006年)版权所有 ( 皖ICP备13000936号-3 )

GMT+8, 2026-3-18 03:16 , Processed in 0.032867 second(s), 22 queries , Gzip On.

Powered by Discuz! X3.5

© 2001-2025 Discuz! Team.

快速回复 返回顶部 返回列表