找回密码
 注册
查看: 10152|回复: 27

(北宋)宣徽南院使镇州都部署郭公(守文)墓志铭并序

[复制链接]
发表于 2014-8-4 01:18:48 | 显示全部楼层 |阅读模式
本帖最后由 郭学宾 于 2015-2-25 20:19 编辑

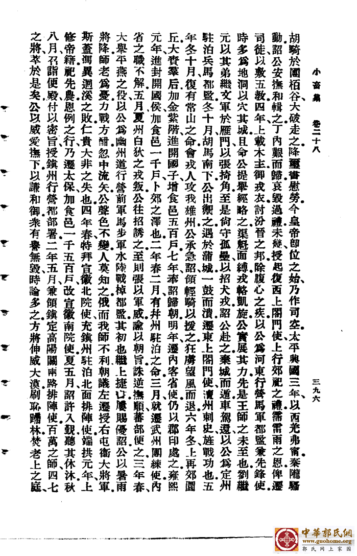
宣徽南院使镇州都部署郭公墓志铭并序

王禹偁

    郭氏之先,虢叔之後也。虢郭声近,因而改焉。婚阀轩裳,代为著姓。自两汉、两晋而下,其间立大功、居显位者,不可备书。有唐已来,孝恪为佐命之将,汾阳王子仪、代公元振,皆人杰也。本大枝茂,侍中公当之。公讳守文,字国华,并州太原人也。曾王父讳湛,赠太子少保。曾祖母刘氏,追封彭城郡夫人。大父讳秉,赠太子少傅。祖母郝氏,追封太原郡夫人。皇考讳晖,赠太子太师。妣赵氏,追封天水郡夫人:皆从公之贵也。
    公即少师之长子,少师在汉为护圣军使,从征蒲帅李守贞,先登而殁。时公尚幼,周高祖见而奇之,召置帐下,旌死事之孤也。洎授禅元年,补左班殿直。且以银印青绶,崇其阶级。用国子祭酒。司宪大夫纪其官氏,上骑都尉策其勋伐。起家之命,有足忧者,时广顺二年也。世宗嗣位,检校冬官卿,加上柱国。时内职东西两班,各置押班之名。又署都知之职,公皆任焉。显德中,徧历礼部、刑部二尚书,待之虽优,用之位至。公韬晦而已,但以谨愿闻。我太祖神德皇帝之开国也,素知其名。建隆初,迁地官之长,充西头供奉官。三年,改大司马。开宝中,授大冢宰。是时,太祖经营四方,有澄清天下之志,励兵谋帅之外,所难者乘使车、传密命之人矣!始得公以用之。公既以知己之主难逢,亦以使者之才自许,往复万里,不逾浃辰。敷奏闲详,勋中上旨。西蜀平,以功知简州军事。夷落未化,寇攘孔多。公治盗以威,抚人以惠。人安盗息,公之力焉。开宝四年,问罪岭表,公舆其行,远驰捷音,数日而至。授右仆射、翰林副使。八年,下金陵,虏伪主。是役也,公亦往焉。太祖以李煜恃险累世,劳师踰年,虑其惧罪自图,有伤国体,诏公监送之。公待以周旋,加之开释,尝谓曰:“国家止弔苗民之顽,不责防风之後也”。以至俘於端门,献之清庙,公之智也!太祖嘉之,赏赐殊厚。九年二月,迁左揆改西京作坊使、翰林职司如故。四月,封南阳开国男,食邑三百户。是岁,从曹州节度使党公禦胡骑於团栢谷,大破走之,降玺书慰劳。
    今皇帝即位之始,乃作司空。太平兴国三年,以西羌弗宁,秦陇骚动。诏公安抚和辑之。丁内艰而归,哀毁过礼。未几,授起复西上阁门使。上行郊祀之礼,霈雷雨之恩,俾迁司徒,以敷五教。四年,上载木主,御戎衣,讨汾晋之邦,除腹心之疾。以公为河东行营马军都监,兼先锋使。时多为地洞以穴其城,且命公提举经略之。渠魁面缚,戎辂凯旋,公实展其力。先是,王师之未至也,刘继元以其弟继文军於雁门,以张掎角,至是尚守孤壘,以找犬戎,诏公赴之,弃城而遁。车驾还,以公为定州驻泊兵马都监。冬十月,胡马南下,公出禦之,遇於蒲城,一鼓而溃。迁东上阁门使、澶州刺史,旌战功也!五年冬十月,复有常山之命。会戎人攻我雄州,公承急诏,领轻骑以援之。狂虏望风而退。六年冬,上再郊园丘大赍群后,加金紫阶,进开国子,增食邑五百户。七年,奉诏归朝。明年,迁内客省使,仍以郡印处之。雍熙元年,进封开国侯,加食邑一千户,卜郊之泽也!二年春二月,有并州驻泊之命。三月,就迁武州团练使,内省之职不解。五月,夏州白狄之戎叛,公往招诱之。至则张以军威,喻以朝旨。诛逆抚顺,蕃部便之。三年春,大举平燕之役,以公为幽州道行营前军马步军水陆战棹都监。其初也继上捷□,屡赐优诏。公以署雨将降,师老为忧,力战方酣,忽中流矢,公声色不变,人莫知之。俄而我师不利,朝议左迁授右屯卫大将军,斯蓋冯异迥溪之败,仁贵大非川之失也!四年春,特拜宣徽北院使,充镇州驻泊北面排阵使。端拱元年,上修帝籍,祀先农,恩例之行,乃迁太保,加食邑一千五百户,改宣徽南院使。夏五月,诏许入觐,听其休沐。秋八月,召诣便殿,付以密旨,授镇州行营都部署。二年五月,兼领镇定、高阳关两路排阵使。百万之师,四七之将,萃於是矣!
    公以威爱抚下,以谦和御众,有誉无毁,时论多之。方将伸威大漠,刷耻归林,焚老上之庭,横行城外,係单于之颈,牵至阙下。公之志也,人之望也!天下憗遗,忽焉薨殂:以十一月九日捐馆於镇阳公署,享年五十有五。上闻之泣下,特诏辍朝两日,赠侍中,皆非常例也!遣黄门护其丧柩。丧事之费,给於县官。以淳化元年某月某日,葬於东京某县某乡某里,礼也!公娶梁氏,封安定郡夫人,有子四人:孟曰崇德,承奉郎、守太常寺太祝;仲曰崇信。叔曰崇俨:皆为西头供奉官;季曰崇仁,幼而未仕。有后之义,其在兹乎?女二人,长适殿直张永福,左千牛卫将军再兴之子也;次许忠武军节度使、太师潘公之孙,未行而卒。
    公学军旅之事,负将帅之才。绵历两朝,遭逢四主。关外之政,多识便宜;禁中之言,未尝漏露。守封疆则尽命,援桴鼓则忘身。家无余财,军有遗爱。降年不永,大勳未立,可痛惜哉!尝试论之曰:自古画策安边,铭功绝域者,赵充国班定远称为名将。然皆年余七十,垂老穷荒,而后能著其效。非一朝一夕之故也!向使公天假之年,如二贤之寿,则丑虏不足平也!见讬勒铭,直书无媿。其铭曰:
    天难谌兮,命靡常。国不幸兮,人之亡。公之生兮,威加北荒。何以贵之兮,驷驖彭彭。公之殁兮,魂游东岱。
    何以赠之兮,珥貂煌煌。遗英风兮,传雁塞。閟贞魄兮,啓牛冈。铭真宅兮,昭茂绩。随地久兮天长!


〔题解〕:
      本文为北宋郭守文墓志,选自《小畜集》卷28。作者北宋王禹偁。墓志中有一字尚未认出,请专家加以辨识。
    《小畜集》,北宋王禹偁作,取《易》小畜卦以为集名。凡三十卷,计赋二卷,诗十一卷,文十七卷,今有影印宋刻配旧钞本,附张元济撰校勘札记一卷。《四库全书》有收录。中华民国年间,王云五主编主持出版《小畜集》1937年6月第一版。
    王禹偁(954—1001),字元之,宋代白体诗人、散文家。济州钜野。太平兴国八年进士,历任右拾遗、左司谏、知制诰、翰林学士。敢于直言讽谏,因此屡受贬谪。宋真宗即位,召还,复知制诰。后贬知黄州,故世称王黄州。后又迁蕲州,病死,时宋真宗咸平四年(公元1001年),年仅48岁。王禹偁为北宋诗文革新运动的先驱,文学韩愈、柳宗元,诗崇杜甫、白居易,多反映社会现实,风格清新平易。词仅存一首,反映了作者积极用世的政治抱负,格调清新旷远。
    郭守文,字国华,并州太原人。曾祖郭湛,唐朝人,北宋时赠太子少保。祖父郭秉,晚唐、五代时人,北宋时赠太子少傅。父郭晖,五代后汉时随大将郭威讨伐河中府镇将李守贞,在攻城时战死,后来追赠太子太师。十四岁时随父从军,父亲阵亡后,被后汉大将郭威收留在其帐下。郭威取代后汉建立后周之后,任护卫军、左雄殿直、东第二雄副都知等。入宋后,历任简州知州、翰林司事、澶州刺史、内客省使、武州团练使、右屯卫大将军、宣徽北院使等,先后随军消灭南汉、南唐、北汉等割据政权。端拱二年(989年)十一月,郭守文去世,终年五十五岁,追赠侍中,追封谯王,谥号忠武。
    郭守文一生事迹,除了《宋史》有列传以外,更有其墓志铭存世。本文“郭守文墓志”铭文,即选自《小畜集》卷28。
p01.png

01

01
p395.png
p396.png
p397.png
发表于 2014-8-8 16:40:51 | 显示全部楼层
另行标点一下,好像更好理解:

天难谌兮,命靡常;国不幸兮,人之亡。
公之生兮,威加北荒;何以贵之兮,驷驖彭彭。
公之殁兮,魂游东岱;何以赠之兮,珥貂煌煌。
遗英风兮,传雁塞;閟贞魄兮,啓牛冈。
铭真宅兮,昭茂绩;随地久兮天长!

可否?

点评

可以。。。谢谢。  发表于 2014-8-8 20:59
回复 1 0

使用道具 举报

发表于 2014-8-8 09:20:13 | 显示全部楼层
这篇帖子给我的启示是
「墓志铭、文史资料、族谱等应该还有许多可以相互补正之处。」
特此向本文之原作者 郭泳致敬!

点评

哈哈,支持。  发表于 2014-8-8 21:00
回复 1 0

使用道具 举报

发表于 2014-8-4 09:18:29 | 显示全部楼层
感谢学宾宗亲的分享。
回复

使用道具 举报

 楼主| 发表于 2014-8-4 11:10:03 | 显示全部楼层
郭在权 发表于 2014-8-4 09:18
感谢学宾宗亲的分享。

不必言谢。。。我是代替别人发的,代替一位我们老家的宗亲 。。其实我自己对这墓志不是很懂。。。
回复

使用道具 举报

 楼主| 发表于 2014-8-4 11:10:03 | 显示全部楼层
郭在权 发表于 2014-8-4 09:18
感谢学宾宗亲的分享。

不必言谢。。。我是代替别人发的,代替一位我们老家的宗亲 。。其实我自己对这墓志不是很懂。。。
回复

使用道具 举报

 楼主| 发表于 2014-8-4 11:10:03 | 显示全部楼层
郭在权 发表于 2014-8-4 09:18
感谢学宾宗亲的分享。

不必言谢。。。我是代替别人发的,代替一位我们老家的宗亲 。。其实我自己对这墓志不是很懂。。。
回复

使用道具 举报

 楼主| 发表于 2014-8-4 11:10:24 | 显示全部楼层
郭在权 发表于 2014-8-4 09:18
感谢学宾宗亲的分享。

不必言谢。。。我是代替别人发的,代替一位我们老家的宗亲 。。其实我自己对这墓志不是很懂。。。
回复

使用道具 举报

发表于 2014-8-4 11:12:54 | 显示全部楼层
依据这篇帖子,可以厘清郭守文的父亲郭晖与广国公郭晖不是同一人。
.
郭守文,字国华,并州太原人。曾祖郭湛,唐朝人,北宋时赠太子少保。祖父郭秉,晚唐、五代时人,北宋时赠太子少傅。父郭晖,五代后汉时随大将郭威讨伐河中府镇将李守贞,在攻城时战死,后来追赠太子太师。

回复

使用道具 举报

发表于 2014-8-4 11:15:12 | 显示全部楼层
通过此墓志进一步证明,郭守文之父郭晖,与南迁江西的郭晖不是同一人。现江西南迁的郭晖家谱记载有误。
回复

使用道具 举报

发表于 2014-8-4 11:44:24 | 显示全部楼层
在权站长说的对「南迁江西家谱对于郭晖的记载有误」,改过来就是了。
這幾個字「從周太祖戰歿河內」可能不正確。但是我不知道如何改,请问有哪位宗亲知道族谱该如何改



点评

老仙,我觉得要依照葛陂谱修改为正确!  发表于 2014-8-4 16:52
回复

使用道具 举报

发表于 2014-8-4 12:30:53 | 显示全部楼层
这篇贴子也证明我们的家谱记载有时也是有误的,所以现在修谱要多查资料,慎重再慎重。
回复

使用道具 举报

发表于 2014-8-4 13:19:50 | 显示全部楼层
本帖最后由 郭昌明 于 2014-8-4 16:57 编辑

据我去年在江西找到的葛陂谱中没有记载晖公“从周太祖战,没河内”或是“没河内”
QQ图片20140804162612.jpg
在我族的族谱中只载晖公“没河内”。
052.JPG



看了其他郭氏谱,大都是“从周太祖战,没河内” 064.JPG


有的谱,还将“从周太祖战,没河内”写入序中。
005.JPG
唉……这是从何时始,将北晖的经历变成了南晖的往事?



点评

感謝說明 !  发表于 2014-8-4 17:28
回复

使用道具 举报

发表于 2014-8-4 15:28:23 | 显示全部楼层
郭昌明 发表于 2014-8-4 13:19
我族的族族中只载晖公“没河内”。



河内郡
  汉置,今河南之河北道大部分地方皆是,胡渭云,古者河北之地,皆谓之河内,自战国魏始有河内河东之名,而秦汉因以置郡,周礼所谓河内,不止河内郡地也,汉时郡治废县,在河南武陟县西南,晋徙治野王,即今河南沁阳县治.



点评

感謝說明 !  发表于 2014-8-4 17:29
回复

使用道具 举报

发表于 2014-8-4 21:21:58 | 显示全部楼层
学习。很好的资料。
回复

使用道具 举报

发表于 2014-8-4 21:25:33 | 显示全部楼层
有点意义,有点意思。两个郭晖。
回复

使用道具 举报

 楼主| 发表于 2014-8-4 22:18:41 | 显示全部楼层
本帖最后由 郭学宾 于 2014-8-4 22:19 编辑
郭在权 发表于 2014-8-4 15:28
河内郡
  汉置,今河南之河北道大部分地方皆是,胡渭云,古者河北之地,皆谓之河内,自战国魏始 ...


    本人虽然生于1980年代,由于小时候家境的原因,只有初中文化,但对写字、对联等一些很感兴趣。后来自学一点古文。。。
    进入这个网站,看到很多观点,本人因能力有限,不愿牵涉其中。本人只愿多了解点并州太原郭氏名人。。。再者,本人家世,虽然是湖南常德桃源县伯达公后裔,但是由于历史原因,家谱差不多毁完了,如今靠家人的记忆,本人收录得伯达公以下至我本人10多代人,还有10代人无从查找。不知道哪里还收藏有关于桃源县深水港镇金岩村郭氏的家谱。
    本人祖先伯达公,后裔有迁徙深水港镇者,后来再迁常德。字辈已经在自我介绍中说明。。。。。
    希望站里人帮帮忙。

点评

我是70后,也只有初中文化就出道了,加强学习就是了。。。。。  详情 回复 发表于 2014-8-7 19:27
回复

使用道具 举报

 楼主| 发表于 2014-8-4 22:21:29 | 显示全部楼层
郭昌明 发表于 2014-8-4 13:19
据我去年在江西找到的葛陂谱中没有记载晖公“从周太祖战,没河内”或是“没河内”

在我族的族谱中只载晖 ...

本人虽然生于1980年代,由于小时候家境的原因,只有初中文化,但对写字、对联等一些很感兴趣。后来自学一点古文。。。
    进入这个网站,看到很多观点,本人因能力有限,不愿牵涉其中。本人只愿多了解点并州太原郭氏名人。。。再者,本人家世,虽然是湖南常德桃源县伯达公后裔,但是由于历史原因,家谱差不多毁完了,如今靠家人的记忆,本人收录得伯达公以下至我本人10多代人,还有10代人无从查找。不知道哪里还收藏有关于桃源县深水港镇金岩村郭氏的家谱。

    本人祖先伯达公,后裔有迁徙深水港镇者,后来再迁常德。字辈已经在自我介绍中说明。。。。。
    希望站里人帮帮忙。
回复

使用道具 举报

 楼主| 发表于 2014-8-4 22:23:14 | 显示全部楼层
台灣郭謙賢 发表于 2014-8-4 11:12
依据这篇帖子,可以厘清郭守文的父亲郭晖与广国公郭晖不是同一人。.郭守文,字国华,并州太原人。曾祖郭湛 ...

本人虽然生于1980年代,由于小时候家境的原因,只有初中文化,但对写字、对联等一些很感兴趣。后来自学一点古文。。。
    进入这个网站,看到很多观点,本人因能力有限,不愿牵涉其中。本人只愿多了解点并州太原郭氏名人。。。再者,本人家世,虽然是湖南常德桃源县伯达公后裔,但是由于历史原因,家谱差不多毁完了,如今靠家人的记忆,本人收录得伯达公以下至我本人10多代人,还有10代人无从查找。不知道哪里还收藏有关于桃源县深水港镇金岩村郭氏的家谱。

    本人祖先伯达公,后裔有迁徙深水港镇者,后来再迁常德。字辈已经在自我介绍中说明。。。。。
    希望站里人帮帮忙。
回复

使用道具 举报

发表于 2014-8-4 22:39:17 | 显示全部楼层
郭学宾 发表于 2014-8-4 22:21
本人虽然生于1980年代,由于小时候家境的原因,只有初中文化,但对写字、对联等一些很感兴趣。后来自学一 ...

和郭泳联系便可。

点评

本人前不久刚刚认识他。。。我家现在还存有郭伯达庙碑碑文。  发表于 2014-8-6 13:53
回复

使用道具 举报

发表于 2014-8-7 19:27:30 | 显示全部楼层
郭学宾 发表于 2014-8-4 22:18
本人虽然生于1980年代,由于小时候家境的原因,只有初中文化,但对写字、对联等一些很感兴趣。后来 ...

我是70后,也只有初中文化就出道了,加强学习就是了。。。。。
回复

使用道具 举报

您需要登录后才可以回帖 登录 | 注册

本版积分规则

QQ|关于我们|地图|手机版|发展基金|公安部备案号:34022202000084|郭氏网(始建于2006年)版权所有 ( 皖ICP备13000936号-3 )

GMT+8, 2026-3-18 07:22 , Processed in 0.052404 second(s), 23 queries , Gzip On.

Powered by Discuz! X3.5

© 2001-2025 Discuz! Team.

快速回复 返回顶部 返回列表