找回密码
 注册
查看: 6330|回复: 14

符竹五派—阳城浣溪杂谈

[复制链接]
发表于 2014-6-12 10:34:14 | 显示全部楼层 |阅读模式
本帖最后由 中华郭氏网 于 2014-6-12 11:17 编辑



符竹五派—阳城浣溪杂谈

阳城郭恢荣

   自吾郭汾阳子孙南迁吉州以来,千百年来繁衍至今,央央郭氏巨族数以千记 , 处于万泰间尤以郭瞿一支为最。
公讳瞿,字原明,高祖太师中书令汾阳王子仪,曾祖太子太傅暧,祖西川节度使、赠司徒钊,父詹事府丞仲恭,母金堂公主。唐乾符五年(878年)黄巢叛,中和元年(881年)巢犯京师,是以僖宗幸蜀,中丞兄弟散在外州,其弟纉离居郴州桂阳县上乡军,惟中丞寓吉州太和县龙泉乡十善镇隐仪冈,娶虔州(今赣州)虔化县赖端公女,名五十娘,封硕人,晋封夫人。哀宗天祐三年(906年),杨行密据淮南,自称吴王,四年丙寅,哀宗禅位于朱全忠,天下鼎沸,裂为十一王,中丞不得已入吴,仕杨行密,以功进御前兵马使、银青光禄大夫,迁国子祭酒、御史中丞、上柱国,公屡充使将,瞻军国事,以年老乞骸骨得旨归田里,至吴乾贞二年(928年)戊子二月十五薨(注:唐代称二品以上为薨,以下为卒),葬乌石冈覆船山官路口。夫人赖氏生子四:延勃、延暹、延昇、延嵩。
    郭瞿子延昇、延嵩迁万安符竹,后延昇又迁阳城, 其后裔于符竹迁出繁衍,族人昌盛莫过于符竹五派。五派者,以明郭子章述当为层溪、竹溪、荐溪、浣溪和下驿。郭青宗亲解释为:层溪,即今泰和县冠朝镇冠朝村;竹溪,即今泰和县冠朝镇竹溪村(公元1000年,郭照之子郭紘迁居);荐溪,即今万安县芙蓉镇苏溪村;浣溪,即今万安县窑头镇阳城村;下驿,今万安县芙蓉镇学背头村。
     吾阳城人,自小村中长大,初闻浣溪即阳城,既喜获知阳城郭氏之来历,稍读符竹谱,尤半信半疑,因为其上所书八世安念由阳城徙浣溪,说明阳城浣溪非一处。后读明郭子章所写《浣溪郭氏续谱序》,终于明白浣溪不是阳城,盖其明言浣溪堂号—都庆堂,而阳城堂号—衍庆堂。
考清同治《万安县志》
诚信乡  处县境东北,划有8都、18图。
八都在县东30里之溪下等处,领图2:一图领村3:中塘、长江、阳城;二图领村4:邓塘、湾头、湖头、河塘。
永和乡:地处县城西北,20都44图。
十三都:在县北五十里之浣溪等处,领图5。一图领村2:甘塘、泮塘;二图领村2:长溪、石洲;三图领村2:梅冈、坑背;四图领村2:石塘、下洋坪;五图领村2:龙邱、园背。
由此可知,阳城,浣溪实非一地,一处县东30里,一处县北50里,相差甚远。虽然不是一个地方,但两地渊源亦不减。皆为昇州刺史郭延昇一脉,阳城祖延昇,浣溪祖安念(阳城的第七世),但浣溪现在究竟为何处,其实也有迹可循。经过与村中族老交谈,由其堂号都庆堂可知,当为现在的万安县韶口乡畔塘村。
     阳城  地处万安县窑头镇阳城村,与泰和县冠朝镇交界。郭延昇为开基祖,字志高,为延嵩(字致远)兄,中丞瞿第三子。仕吴为昇州刺史,由符竹迁阳城。子洪基,仕吴为大司徒,葬泰和覆船形,瞿公左边一丈余远(今江西省吉安市泰和县马市镇甘露村嶺下背)。三世文通,四世历,五世大就,宋护国将军,谥忠武,没于军中,归葬阳城。旧有庙祠,明子章述万历年间尚存,清同治万安县志所载已毁。大就墓尚在,地表无痕,文革前全村每年必合祭,现知之甚少。六世舜,七世安念。现村中尚存明代所建郭氏总祠—衍庆堂。阳城郭氏有两房,另外两小祠,现皆已破败。
阳城,原叫横坑,宋代筑城,取先祖源自汾阳,故名阳城。以村中古树著称,现有宋先辈所植大量古樟。
    浣溪  万安县韶口乡畔塘村。祖安念,子汝能(汝弼,汝通),汝能生承昌,振家庙,堂名都庆堂。承昌生兴宗,仕宋三宣议郎。兴宗二子以仁义立位, 长曰鼎,字從周,居仁位,登宋靖康董德元榜进士,历官枢密使。仲曰相,字岳卿,居义位。鼎生清叔,号简斋,登宋淳祐刘炳元榜进士,守漳州迁淮南节度使。再传定轩,忱轩,桂轩,敬轩,晋轩。相生清高,任秘书,未有子。兄清叔子桂轩遂仍东西南北号而位之,定为东位,忱为西位,桂为南位,敬为北位。晋轩出为延嵩祖十二世季孺公为后。
    浣溪谱,始修于宋嘉泰壬戌,枢密公鼎自撰源流记;再谱于元至正间,遭兵火燹,流传仅十一;三谱于明正统丁卯,泰和萧助教公灓序;四谱于成化甲辰,泰和罗洗马公暻公序;五谱于嘉靖壬子癸丑间,泰和欧阳洗马公衢,刘宪副公應授同里刘方伯公天授序;六谱明万历年间,泰和郭子章序。
堂号都庆堂,叅知公《都庆堂记》,堂广四十二尺,崇视不及十之三,虹梁晓榭,视昔益奂严祀礼实,敦义叙伦皆于斯聚。子章公尝两登斯堂,雍肃庄严,雅称其名。
都庆堂门楣旧颜曰浣花溪传,构堂时有异人指示善,向寻不见,门外二古樟,数抱久枯,忽旁根延引数十余步出二支,并植左右数岁,蔚然成荫。谓佑樟复生此,即豫章典午之祥诞,至司马温公番炽未有歇。浣花溪在成都,予尝泛舟,澄澈莹白,蜀人取溪水造十色笺,故韩氏兄弟有 十样云笺出益州,寄来新自浣溪头之句,皆文明之瑞也。浣子姓业文者尚勉旌以应之,晋禾韩笺自吾浣而三之矣!
    荐溪  今万安县芙蓉镇苏溪村。枢密延嵩公,七子整有符竹徙层溪,后易名冠朝,郜由符族迁金田,郜传纪,纪传本,徙下驿,本传进士耒阳令志诚,志诚传仲允,仲允传建义校尉麾,麾传校正梓材,梓材传师德,师德传传季孺,季孺则荐溪始祖也。季孺择浣溪简斎子晋可(轩)为后,晋可(轩)有择浣溪定轩子景贤为后,景贤又择浣溪峭峰子宗泰为后,而后荐溪之积始绵。呜呼,前人创业之难如此!
由此可知,浣溪与荐溪,分流于刺史枢密,实诚同胞兄弟,至十二世来,季孺三世无嗣,定轩议继至再至三,以开荐溪之传,真若刺史不忍枢密一枝之馁。
    吾吉自欧阳文忠公一来,创为谱式乡人宗之。吾郭自刺史昇枢密嵩二祖以来,兄弟竞夹入宋。兄弟进士则有符竹之文正文格;父子进士则有冠朝之太常仅集贤之美;浣溪之枢密使鼎,节度使俊去欧公未远,鼎撰郭氏源流记为详,故吾郭姓井井纶纶有足记焉。中丞公瞿源出汾阳,南迁吾吉为大宗,其子刺史枢密二派为小宗。符竹下驿荐溪冠朝为枢密嵩一宗,则阳城浣溪为刺史延昇一宗,期中荐溪浣溪血缘最近。
    以上资料皆取自明郭子章《浣溪郭氏续谱序》和《荐溪郭氏续谱序》,子章公言单在万泰之间,郭氏五派有八千人众。
 楼主| 发表于 2014-6-12 10:36:41 | 显示全部楼层
本帖最后由 郭恢荣 于 2014-6-12 10:50 编辑

由此可知:
一:郭瞿这一支渊源,网上有很多质疑。但目前为止看到记载最为清晰记载,明郭子章所著浣溪郭氏族谱序,其中浣溪宋枢密使郭鼎,鼎撰郭氏源流记为详,故吾郭姓井井纶纶有足记焉,当为可信,鼎离郭瞿祖时间当为不远,其次鼎身处枢密使高位当不可能随便攀附,否则会闹后晋的郭崇韬的笑话,再次,乡谱为欧阳修所创,鼎与其所处时代相同,有修谱的要求。
二:郭瞿四子的排序,宋汪泽志所著中丞公行实中表述可靠,长延勃,次延暹,三延昇,四延嵩。浣溪谱明确说明了延昇为第三子。
三:阳城祖延昇,阳城谱载两兄弟符竹开基,后迁阳城。后延嵩一脉以符竹为祖居地,则延昇一脉以阳城为祖居地。符竹五派的分法,有两种表述,一以延嵩后裔,分为冠溪,竹溪,下驿,荐溪,松关。二以延昇,延嵩都始迁于符竹,分为符竹,荐溪,下驿,冠朝,浣溪。两种分法都来源于明郭子章符竹谱序和浣溪族谱序。应该说五族最有资历的当为郭子章,其本人每一族谱都拜读,且一一作序,每一族的源流都非常知根知底。但有一点子章公没有读过阳城谱,只读过浣溪谱。
四:浣溪和荐溪的关系,两派非常紧密。荐溪始祖于延嵩公,浣溪始祖于延昇公,其为同胞兄弟。荐溪至十二世来,季孺三世无嗣(季孺择浣溪简斎子晋可(轩)为后,晋可(轩)又择浣溪定轩子景贤为后,景贤又择浣溪峭峰子宗泰为后)浣溪定轩议继至再至三,以开荐溪之传。
五:阳城延昇一脉:由此可以明确,昇州刺史郭延昇,阳城一派以其为祖,可称刺史派。现在阳城合祠郭将军,应该为二将军,昇州刺史延昇,护国将军大就。浣溪为阳城一脉,延昇一枝由阳城迁出在万安的,迁徙路线大概如下:宋代迁入韶口畔塘、冠 薮、湖田、双林岗、樟树下、下樟树下。明代迁入韶口泥塘、角塘、窑头八斗同福田,百加 夏源。清代又从畔塘迁入长溪,从同福田迁入下岔、洞口,从夏源迁入荷林、甘草坪和韶口 上元。清末从阳城迁入枧头圳头,又从圳头、洞口迁入九斗鸭蕉坑。
阳城浣溪皆一脉相承,同出郭延昇,联系亦最为紧密,字派皆同。为使同宗更为了解,可以参照浣溪世系图。
为了方便延昇一脉方便交流,创建阳城郭氏宗族群,群号315616313
点击链接加入群【阳城郭氏宗族群】:http://jq.qq.com/?_wv=1027&k=NajHK5

回复

使用道具 举报

 楼主| 发表于 2014-6-12 10:40:02 | 显示全部楼层
  
一世
  
二世
三世
四世
五世
六世
七世
八世
九世
十世
子仪
仲恭
延昇
洪基
文通
大就
十一世
十二世
十三世
十四世
十五世
十六世
十七世
十八世
十九世
二十世
安念
汝能
承昌
兴宗
清叔
忱轩
峭峰
草堂
二十一世
二十二世
二十二世
二十四世
二十五世
二十六世
二十七世
二十八世
二十九世
三十世
三峰
仲球
永宁
世字
恒字
日(立)字
加字
钦字
会字
三十一世
三十二世
三十三世
三十三世
三十五世
三十六世
三十七世
三十八世
三十九世
四十世
唐字
建字
开字
隆字
茂字
序字
万字
祚字
永字
同字
四十一世
四十四世
四十三世
四十四世
四十五世
四十六世
四十七世
四十八世
四十九世
五十世
昌字
积字
德字
恢字
先字
绪字
 
 
 
 

回复

使用道具 举报

 楼主| 发表于 2014-6-12 10:41:01 | 显示全部楼层
本帖最后由 郭恢荣 于 2014-6-12 10:51 编辑

000042.jpg 000043.jpg 000044.jpg 000045.jpg 000046.jpg 000047.jpg 000048.jpg 浣溪郭氏族谱序
回复

使用道具 举报

发表于 2014-6-14 00:43:41 | 显示全部楼层
拜读, 佩服宗亲的认真考究。
回复

使用道具 举报

发表于 2014-6-21 22:46:26 来自手机 | 显示全部楼层
洪基公的墓离瞿公墓一丈远如果你们是他们的后裔就应该去上柱香
回复

使用道具 举报

发表于 2014-6-21 22:49:46 来自手机 | 显示全部楼层
阳城离瞿公墓洪基墓也就几十里路程
回复

使用道具 举报

 楼主| 发表于 2014-6-22 09:05:26 | 显示全部楼层
符竹郭卫军 发表于 2014-6-21 22:49
阳城离瞿公墓洪基墓也就几十里路程

以后有机会一定会去的!!!
回复

使用道具 举报

发表于 2014-6-23 18:08:52 | 显示全部楼层
兄弟,先点个赞
再说句话,考谱之事,不可不认真,亦不可太认真。
枢密使为一品大员,武官之首,上朝时和宰相并肩,分领文武官员。这样的大角色,《宋史》会无记载?《县志》《府志》敢不立传?呵呵
回复

使用道具 举报

 楼主| 发表于 2014-6-24 15:28:13 | 显示全部楼层
湖坪郭青 发表于 2014-6-23 18:08
兄弟,先点个赞
再说句话,考谱之事,不可不认真,亦不可太认真。
枢密使为一品大员,武官之首,上朝时和 ...

呵呵,真相淹没在历史中,宋代前的历史,在万安县志里就是把各家的族谱抄来的!
回复

使用道具 举报

 楼主| 发表于 2014-6-27 11:30:20 | 显示全部楼层
湖坪郭青 发表于 2014-6-23 18:08
兄弟,先点个赞
再说句话,考谱之事,不可不认真,亦不可太认真。
枢密使为一品大员,武官之首,上朝时和 ...

郭青宗亲,郭敬华在江西万安郭子仪后裔溯源与发展一文中提到明朝时期阳城出了个郭氏将军在京城理事,真还是假,能否帮我考证下。
回复

使用道具 举报

发表于 2014-7-22 09:15:04 | 显示全部楼层
我排到40代了,
回复

使用道具 举报

 楼主| 发表于 2016-5-22 18:09:07 | 显示全部楼层
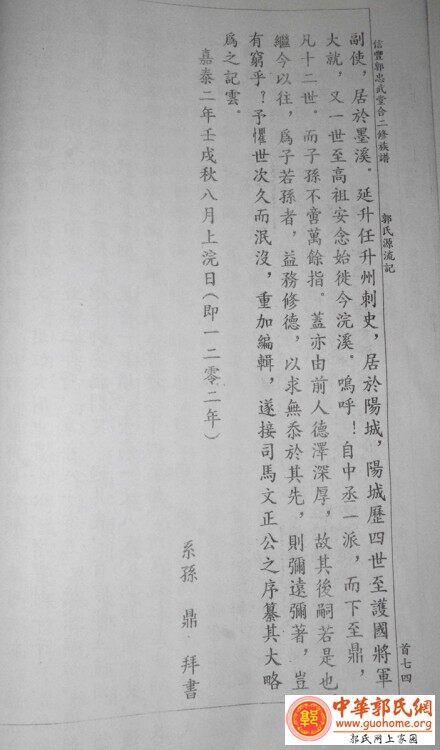
其实大家不要忽略延升公一派的,宋枢密使郭鼎在浣溪谱撰写郭氏源流记,郭子章评价井井有纶。
忠武堂1.jpg
忠武堂2.jpg
回复

使用道具 举报

 楼主| 发表于 2016-5-22 18:24:51 | 显示全部楼层
这个郭鼎写的郭氏源流记,来源于司马文正,即司马光为我延升一脉写的一篇谱序的大略,
回复

使用道具 举报

发表于 2016-5-25 00:14:26 | 显示全部楼层
郭恢荣 发表于 2016-5-22 18:24
这个郭鼎写的郭氏源流记,来源于司马文正,即司马光为我延升一脉写的一篇谱序的大略,

宗亲你好! 不知道是不是我古文理解有误: 郭鼎公的郭氏源流记是转述司马光谱序的内容? 司马光的谱序还刊载于现时家谱里面吗?还是已经失传?
回复

使用道具 举报

您需要登录后才可以回帖 登录 | 注册

本版积分规则

QQ|关于我们|地图|手机版|发展基金|公安部备案号:34022202000084|郭氏网(始建于2006年)版权所有 ( 皖ICP备13000936号-3 )

GMT+8, 2026-3-18 03:40 , Processed in 0.029596 second(s), 22 queries , Gzip On.

Powered by Discuz! X3.5

© 2001-2025 Discuz! Team.

快速回复 返回顶部 返回列表