找回密码
 注册
查看: 6713|回复: 9

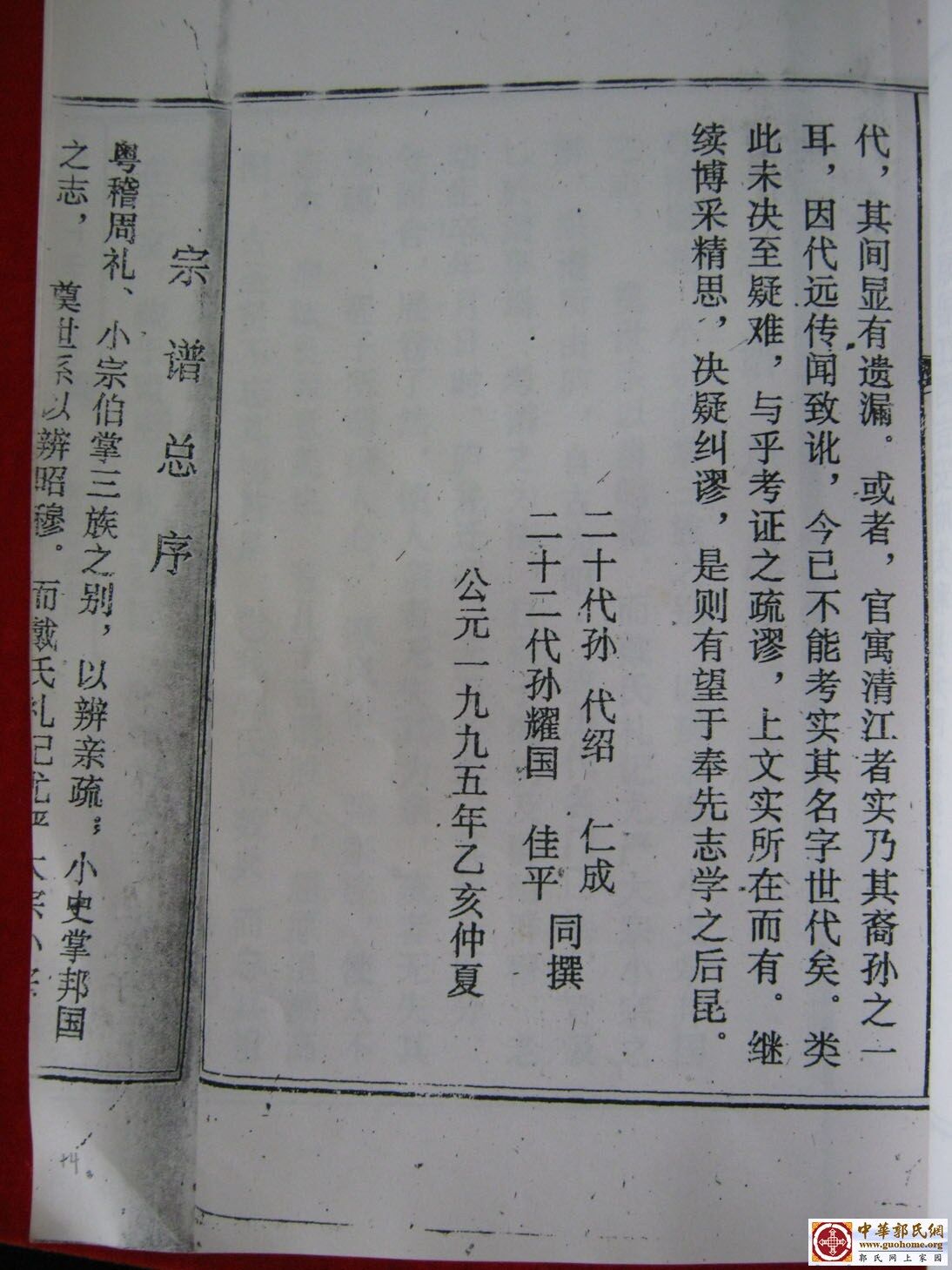
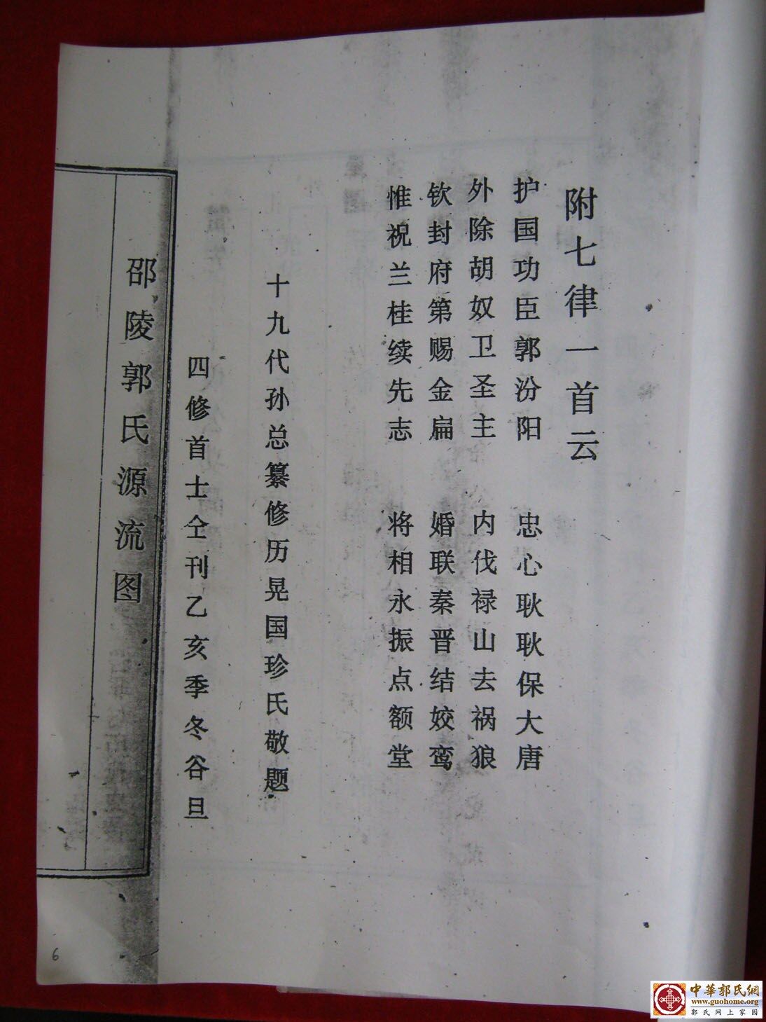
2000年堂兄寻根重庆大足得到的《邵陵郭氏点额堂宗谱》

[复制链接]
发表于 2013-11-5 16:27:50 | 显示全部楼层 |阅读模式
2000年堂兄寻根重庆大足得到的《邵陵郭氏点额堂宗谱》恳请荣勋、周同等邵陵、吉安泰和的宗亲们帮忙抽空看看,务必请帮助找出其中的错误之处。谢谢!
IMG_0001.jpg
IMG_0002.jpg
IMG_0003.jpg
IMG_0004.jpg
IMG_0005.jpg
IMG_0006.jpg
IMG_0007.jpg
IMG_0008.jpg
IMG_0009.jpg
IMG_0010.jpg
IMG_0011.jpg
IMG_0012.jpg
IMG_0013.jpg
IMG_0014.jpg
IMG_0015.jpg
IMG_0016.jpg
IMG_0017.jpg
IMG_0018.jpg
IMG_0019.jpg
IMG_0020.jpg
IMG_0021.jpg
IMG_0022.jpg
IMG_0023.jpg
IMG_0024.jpg
IMG_0025.jpg
发表于 2013-11-5 18:47:09 | 显示全部楼层
宗亲辛苦了!已拜阅!有空再来品味
回复

使用道具 举报

发表于 2013-11-6 09:38:02 | 显示全部楼层
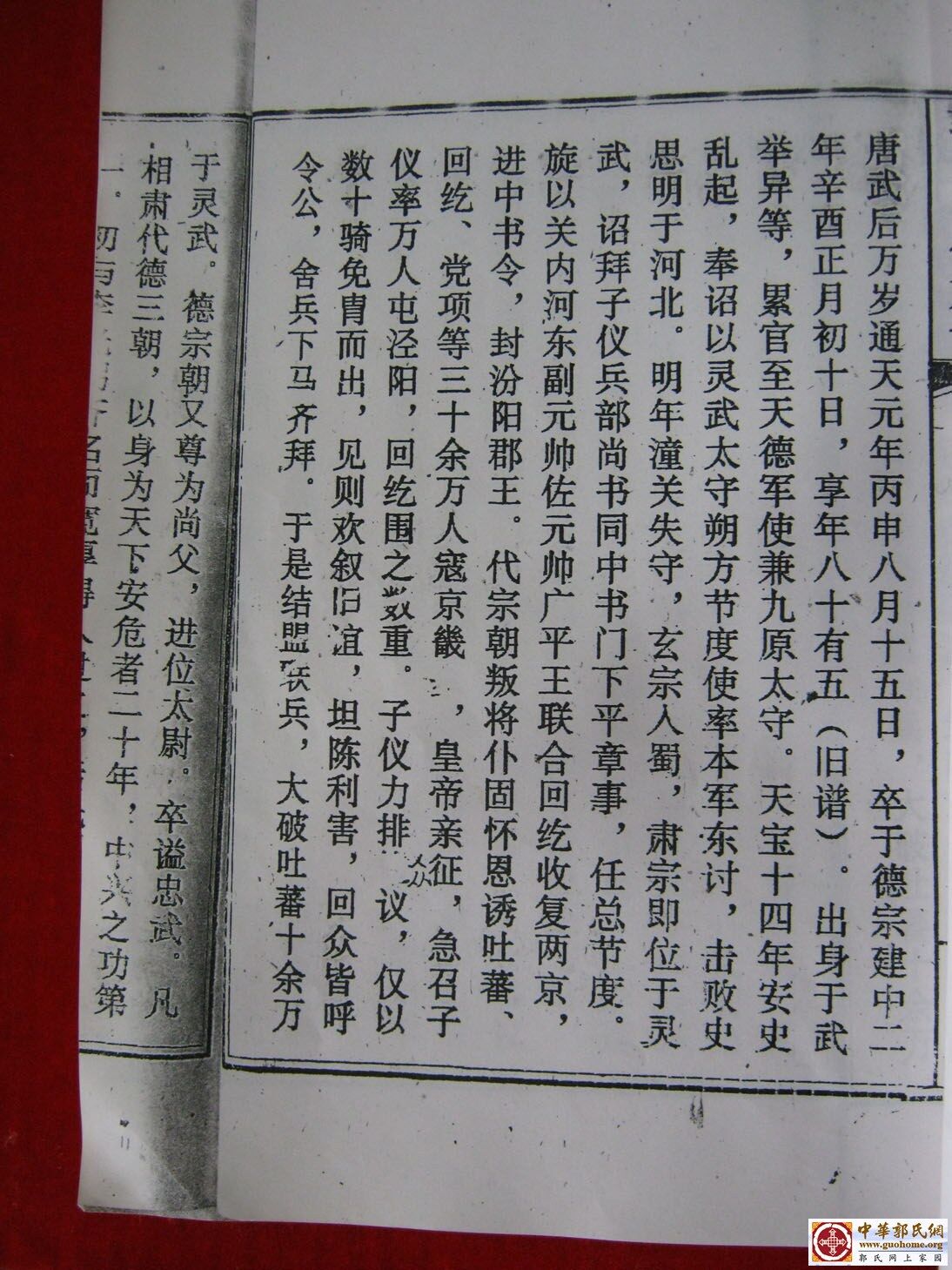
仔细看下,  邵陵迁始祖 均秀 为明洪武十二年(1379)殁,子仪公781年殁,而谱中记载均秀为从子仪算起第13代,平均每代人46个年头。  比较难实现。
回复

使用道具 举报

发表于 2013-11-6 09:38:49 | 显示全部楼层
也许是从子仪到均秀这一段,因口口相传有误。
回复

使用道具 举报

 楼主| 发表于 2013-11-7 17:31:42 | 显示全部楼层
因口口相传有误,中间肯定有遗漏。望宗亲们多帮助。
回复

使用道具 举报

发表于 2013-11-26 22:14:46 | 显示全部楼层
珍贵资料,好极了!
回复

使用道具 举报

发表于 2019-6-30 22:49:20 来自手机 | 显示全部楼层
我均秀公第二十四代。13899746586,内江田家镇!
回复

使用道具 举报

发表于 2019-7-1 06:54:52 来自手机 | 显示全部楼层
gsxiang36 发表于 2013-11-7 17:31
因口口相传有误,中间肯定有遗漏。望宗亲们多帮助。

加我微信,skgbleton,均秀公后代二十四代,13599746586
回复

使用道具 举报

发表于 2019-7-1 07:54:48 来自手机 | 显示全部楼层
我们族谱子仪>晞>祐>祥>熙>瑞>彩>祁祥>和>光华>献>希齐>鲁>仕成>章>恒先>景福>禧元>仲享>纪>均秀公L
回复

使用道具 举报

您需要登录后才可以回帖 登录 | 注册

本版积分规则

QQ|关于我们|地图|手机版|发展基金|公安部备案号:34022202000084|郭氏网(始建于2006年)版权所有 ( 皖ICP备13000936号-3 )

GMT+8, 2026-3-18 02:58 , Processed in 0.027916 second(s), 22 queries , Gzip On.

Powered by Discuz! X3.5

© 2001-2025 Discuz! Team.

快速回复 返回顶部 返回列表