找回密码
 注册
中华郭氏网 首页 郭氏家谱 查看内容

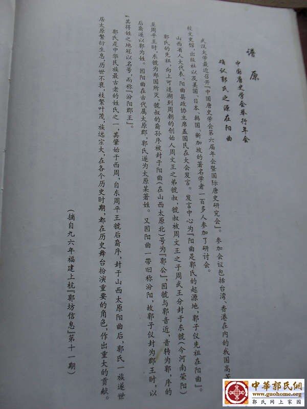
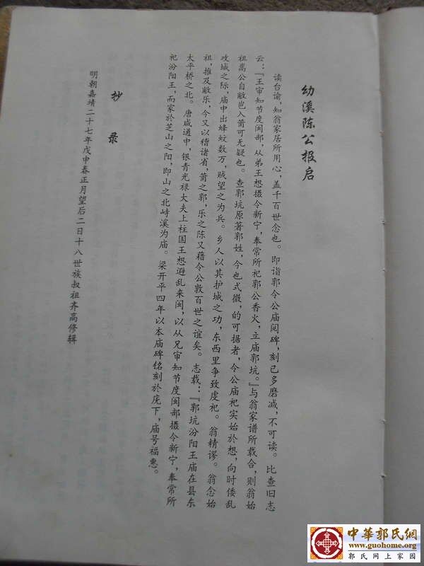
广东潮州凤廓永思堂《凤廓郭氏族谱》卷首编

2013-3-11 23:54| 发布者: 郭桂秋| 查看: 12530| 评论: 15|原作者: 郭桂秋

SDC11528.JPG

SDC11529.JPG

SDC11532.JPG

SDC11533.JPG

SDC11534.JPG

SDC11535.JPG

SDC11536.JPG

SDC11537.JPG

SDC11538.JPG

SDC11540.JPG

SDC11541.JPG

SDC11542.JPG

SDC11543.JPG

SDC11544.JPG

SDC11545.JPG

SDC11546.JPG

SDC11547.JPG

SDC11548.JPG

SDC11549.JPG

SDC11550.JPG


SDC12124.JPG

SDC12125.JPG

SDC11553.jpg



SDC11553.jpg
4

路过

雷人

握手

鲜花

鸡蛋

刚表态过的朋友 (4 人)

相关阅读

发表评论

最新评论

引用 郭在权 2012-10-20 23:49
辛苦了~!~~~~~~~~~~~~
引用 郭悠然 2012-10-21 00:26
精彩纷呈哈!
引用 郭占敖 2012-10-21 06:29
内容挺丰富的,见识了!
引用 郭安胤 2012-10-21 17:19
好资料。。。。。
引用 郭荣勋 2012-10-21 18:23
編輯的挺不錯!內容豐富。頂一個!
引用 郭悠然 2012-10-23 12:14
很不错,长见识了
引用 郭世忠 2013-10-28 16:00
好谱!
引用 郭世忠 2014-2-4 13:01
修得很不错的啊!-------
引用 郭奕贤 2014-2-11 03:02
郭桂秋 辛苦了。
引用 宁静のの致远 2014-9-5 21:14
2014年8月12日我们带着小孙女从深圳乘坐高铁到桂秋兄弟朝讪家中参加大侄子的婚礼,有幸与广西郭湘兄弟同坐一桌,进行了广泛的交流。下午参观访问了潮汕郭氏村落独特的布局。淙淙渠水绕村而过、大树下小桥流水十分独具匠心。大半个乡镇尽姓郭,千百年来诗书传家,团结一致出了不少有名的南国郭氏英杰。给人印象深刻的是,几大家庙祠堂保护得好。今后无论怎样变化,都希望把郭氏优秀文化永远传承下去,为祖国富强,人民富裕服务。桂秋兄弟和众宗亲辛苦了,向你们致意!祝宗亲们永远安康幸福!!!四川武胜郭久蓉雷德明
引用 郭冰儿 2014-11-2 19:38
家族的族谱,在初中的时候曾经拿出来仔细看过,从爷爷那一代往上查起,有点可惜的是我老伯的名字弄错了。
引用 郭桂秋 2014-11-2 23:33
本帖最后由 郭桂秋 于 2014-11-2 23:44 编辑
郭冰儿 发表于 2014-11-2 19:38
家族的族谱,在初中的时候曾经拿出来仔细看过,从爷爷那一代往上查起,有点可惜的是我老伯的名字弄错了。

你是郭陇人?按照你关注的族谱。应该属于凤廓支系迁居澄海的
引用 郭冰儿 2014-11-4 22:08
郭桂秋 发表于 2014-11-2 23:33
你是郭陇人?按照你关注的族谱。应该属于凤廓支系迁居澄海的

是的,我是庵埠镇郭陇三村的,不是迁居澄海的
引用 郭昌峰 2014-11-5 07:22
拜读学习了!
引用 郭桂秋 2014-11-6 02:13
郭冰儿 发表于 2014-11-4 22:08
是的,我是庵埠镇郭陇三村的,不是迁居澄海的

我在郭四板桥头。有时间过来喝茶

查看全部评论(15)

QQ|关于我们|地图|手机版|发展基金|公安部备案号:34022202000084|郭氏网(始建于2006年)版权所有 ( 皖ICP备13000936号-3 )

GMT+8, 2026-3-17 21:59 , Processed in 0.060779 second(s), 29 queries , Gzip On.

Powered by Discuz! X3.5

© 2001-2025 Discuz! Team.

返回顶部